Официальное опубликование правовых актов
ОФИЦИАЛЬНОЕ ОПУБЛИКОВАНИЕ
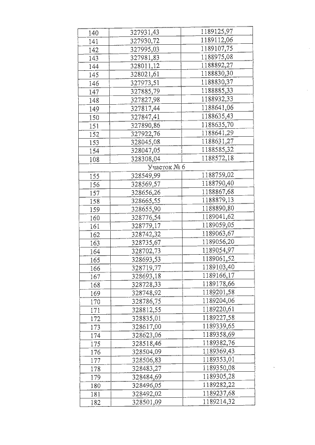
Постановление Правительства Калужской области от 02.04.2019 № 209 "Об особо охраняемой природной территории регионального значения – памятнике природы "Лесной сосновый массив "Дубровский"
Номер опубликования: 4000201904040023
Дата опубликования: 04.04.2019
Страница №6 из 10:
Увеличить