Официальное опубликование правовых актов
ОФИЦИАЛЬНОЕ ОПУБЛИКОВАНИЕ
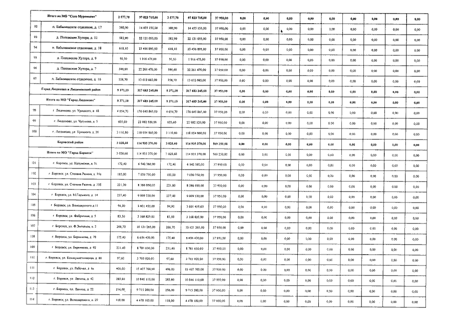
Постановление Правительства Калужской области от 20.08.2015 № 470
"О внесении изменений в постановление Правительства Калужской области от 29.04.2013 № 213 "Об областной адресной программе по переселению граждан из аварийного жилищного фонда на территории муниципальных образований Калужской области на 2013-2017 годы" (в ред. постановлений Правительства Калужской области от 29.11.2013 № 646, 05.03.2014 № 151, от 15.08.2014 № 482, от 10.03.2015 № 123, от 01.06.2015 № 295)"
Номер опубликования: 4000201508250008
Дата опубликования: 25.08.2015
Страница №65 из 68:
Увеличить