Официальное опубликование правовых актов
ОФИЦИАЛЬНОЕ ОПУБЛИКОВАНИЕ
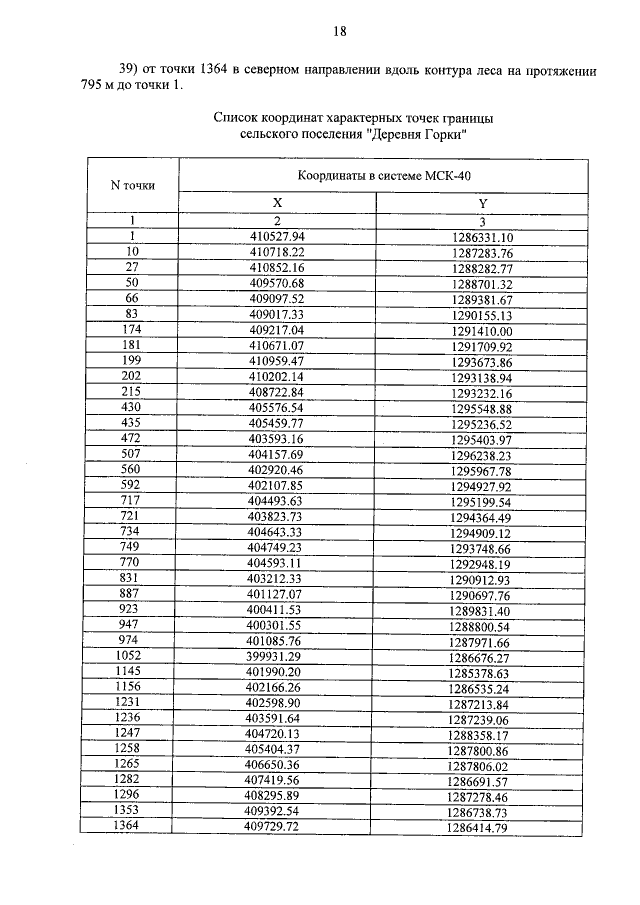
Закон Калужской области от 29.05.2015 № 728-ОЗ
"О внесении изменений в Закон Калужской области "Об установлении границ муниципальных образований, расположенных на территории административно-территориальных единиц "Думиничский район", "Кировский район", "Медынский район", "Перемышльский район", "Сухиничский район", "Тарусский район", "Юхновский район", и наделении их статусом городского поселения, сельского поселения, муниципального района"
Номер опубликования: 4000201506030017
Дата опубликования: 03.06.2015
Страница №18 из 65:
Увеличить