Официальное опубликование правовых актов
ОФИЦИАЛЬНОЕ ОПУБЛИКОВАНИЕ
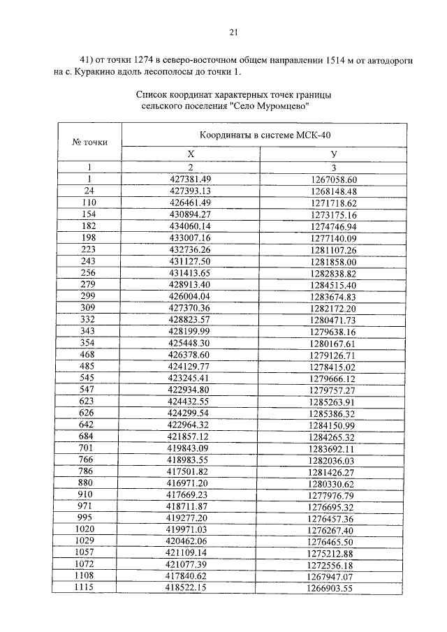
Закон Калужской области от 27.02.2015 № 695-ОЗ
"О внесении изменений в Закон Калужской области "Об установлении границ муниципальных образований, расположенных на территории административно-территориальных единиц "Бабынинский район", "Боровский район", "Дзержинский район", "Жиздринский район", "Жуковский район", "Износковский район", "Козельский район", "Малоярославецкий район", "Мосальский район", "Ферзиковский район", "Хвастовичский район", "Город Калуга", "Город Обнинск", и наделении их статусом городского поселения, сельского поселения, городского округа, муниципального района"
Номер опубликования: 4000201503030015
Дата опубликования: 03.03.2015
Страница №21 из 30:
Увеличить