Официальное опубликование правовых актов
ОФИЦИАЛЬНОЕ ОПУБЛИКОВАНИЕ
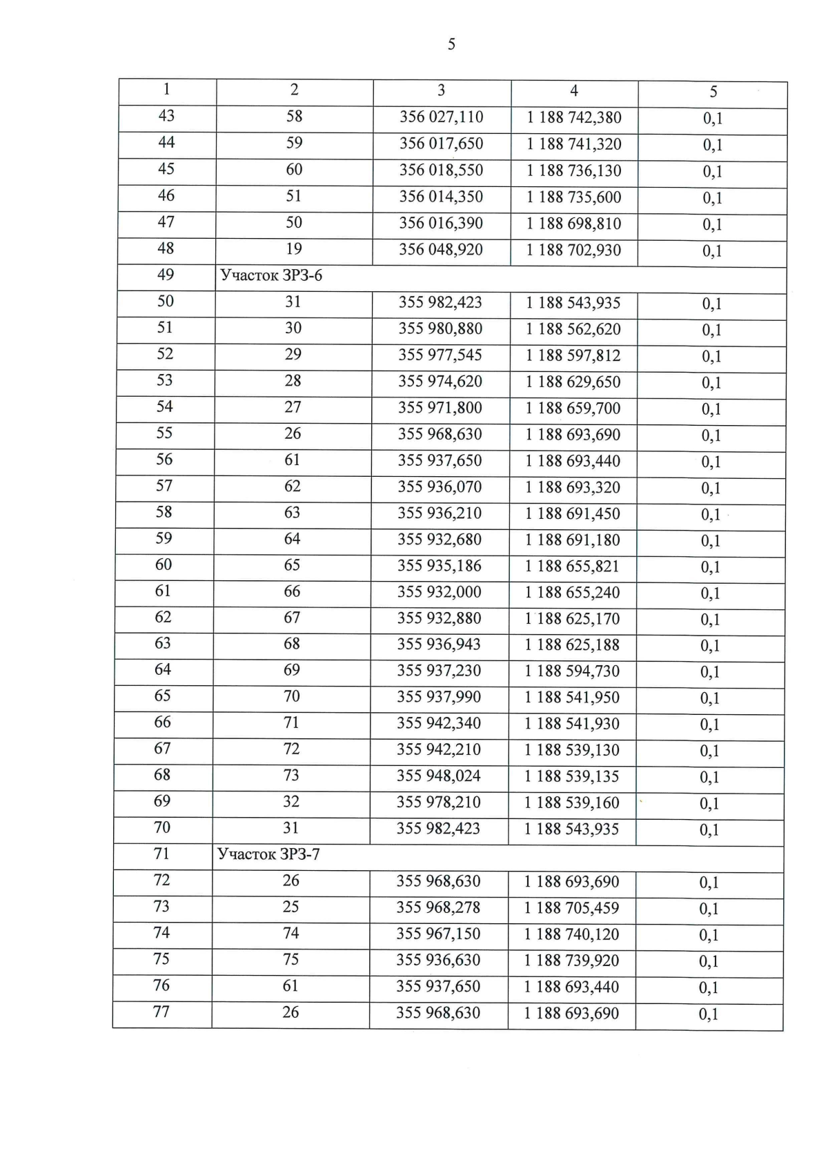
Приказ Службы государственной охраны объектов культурного наследия Калининградской области от 11.03.2024 № 80
"Об установлении зон охраны объекта культурного наследия регионального значения "Здание Восточно-Прусской ремесленной школы для девушек (архитекторы Х. Хопп, Г. Лукас)", 1930 год, Калининградская область, город Калининград, улица Кирова, 7, и утверждении требований к градостроительным регламентам в границах территорий данных зон"
(Зарегистрирован 12.03.2024 № ГР/187/2024)
Номер опубликования: 3901202403130004
Дата опубликования: 13.03.2024
Страница №7 из 12:
Увеличить