Официальное опубликование правовых актов
ОФИЦИАЛЬНОЕ ОПУБЛИКОВАНИЕ
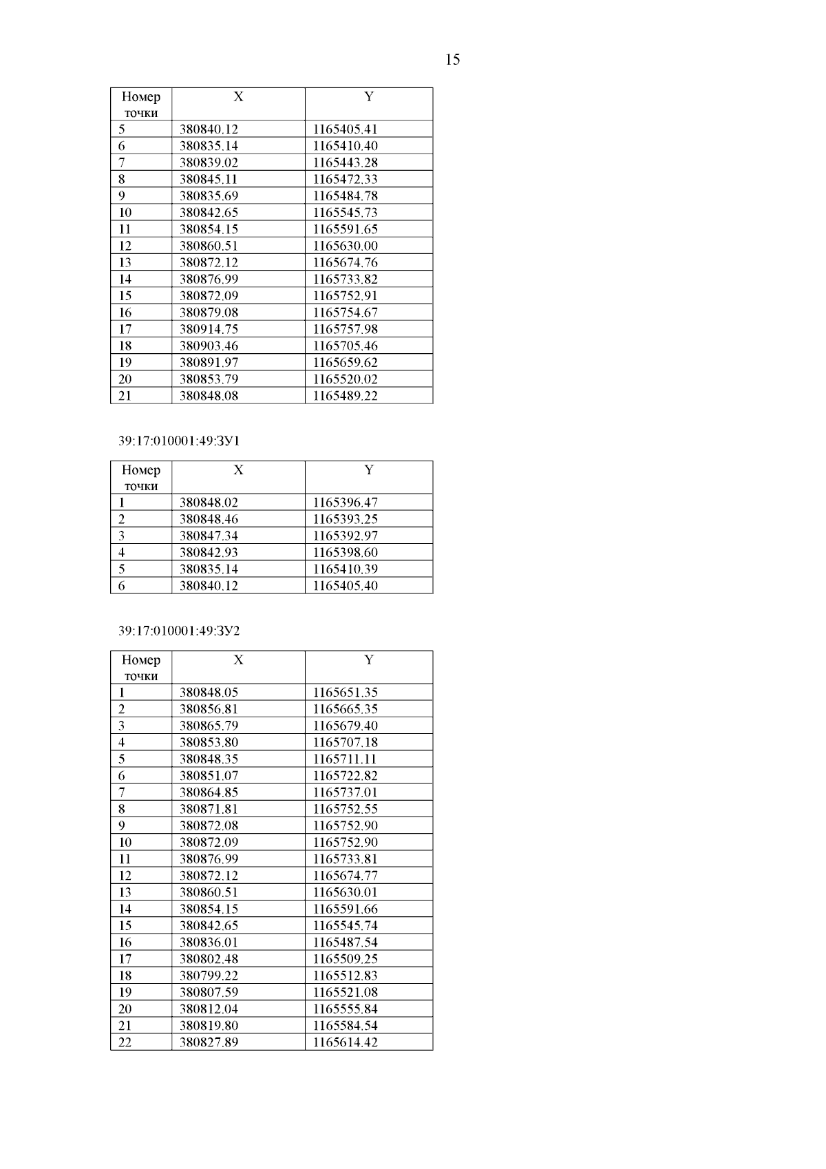
Приказ Министерства градостроительной политики Калининградской области от 15.02.2024 № 53 "Об утверждении проекта планировки территории с проектом межевания в его составе, предусматривающего размещение линейного объекта регионального значения «Строительство противооползневых сооружений в районе Гаузупского ручья в г. Светлогорске»"
(Зарегистрирован 16.02.2024 № ГР/103/2024)
Номер опубликования: 3901202402200004
Дата опубликования: 20.02.2024
Страница №17 из 21:
Увеличить