Официальное опубликование правовых актов
ОФИЦИАЛЬНОЕ ОПУБЛИКОВАНИЕ
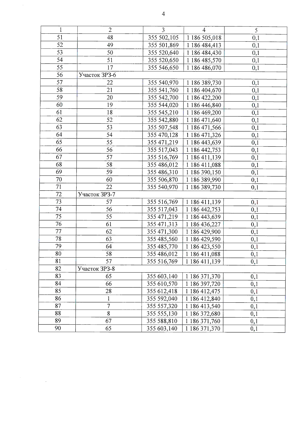
Приказ Службы государственной охраны объектов культурного наследия Калининградской области от 28.11.2023 № 498
"Об установлении зон охраны объекта культурного наследия регионального значения "Вилла", 1905 – 1910 годы, Калининградская область, город Калининград, улица Чапаева, 34, утверждении требований к градостроительным регламентам в границах территорий данных зон и внесении изменений в постановление Правительства Калининградской области от 06 июня 2013 года № 386 "Об утверждении границ территорий и зон охраны объектов культурного наследия регионального значения, находящихся на территории Калининградской области, режимов использования земель и градостроительных регламентов в границах данных зон"
(Зарегистрирован 28.11.2023 № ГР/1075/2023)
Номер опубликования: 3901202311300003
Дата опубликования: 30.11.2023
Страница №6 из 13:
Увеличить