Официальное опубликование правовых актов
ОФИЦИАЛЬНОЕ ОПУБЛИКОВАНИЕ
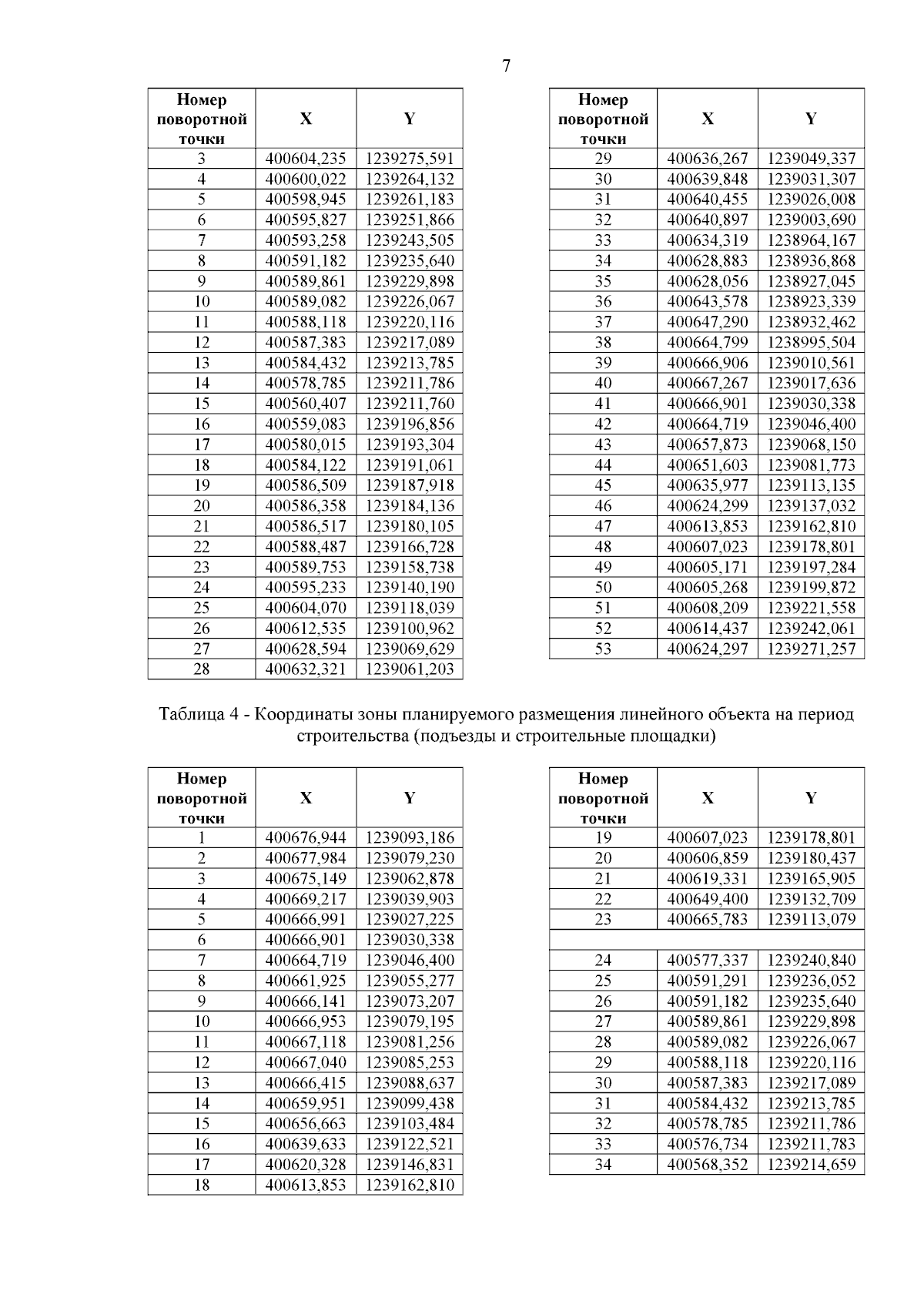
Приказ Министерства градостроительной политики Калининградской области от 25.08.2023 № 372
"Об утверждении проекта внесения изменений в документацию по планировке территории, предусматривающую размещение линейного объекта регионального значения, утвержденную приказом Министерства градостроительной политики Калининградской области от 08 июля 2022 года № 261"
(Зарегистрирован 25.08.2023 № ГР/741/2023)
Номер опубликования: 3901202308290001
Дата опубликования: 29.08.2023
Страница №9 из 31:
Увеличить