Приказ Службы государственной охраны объектов культурного наследия Калининградской области от 15.08.2023 № 310
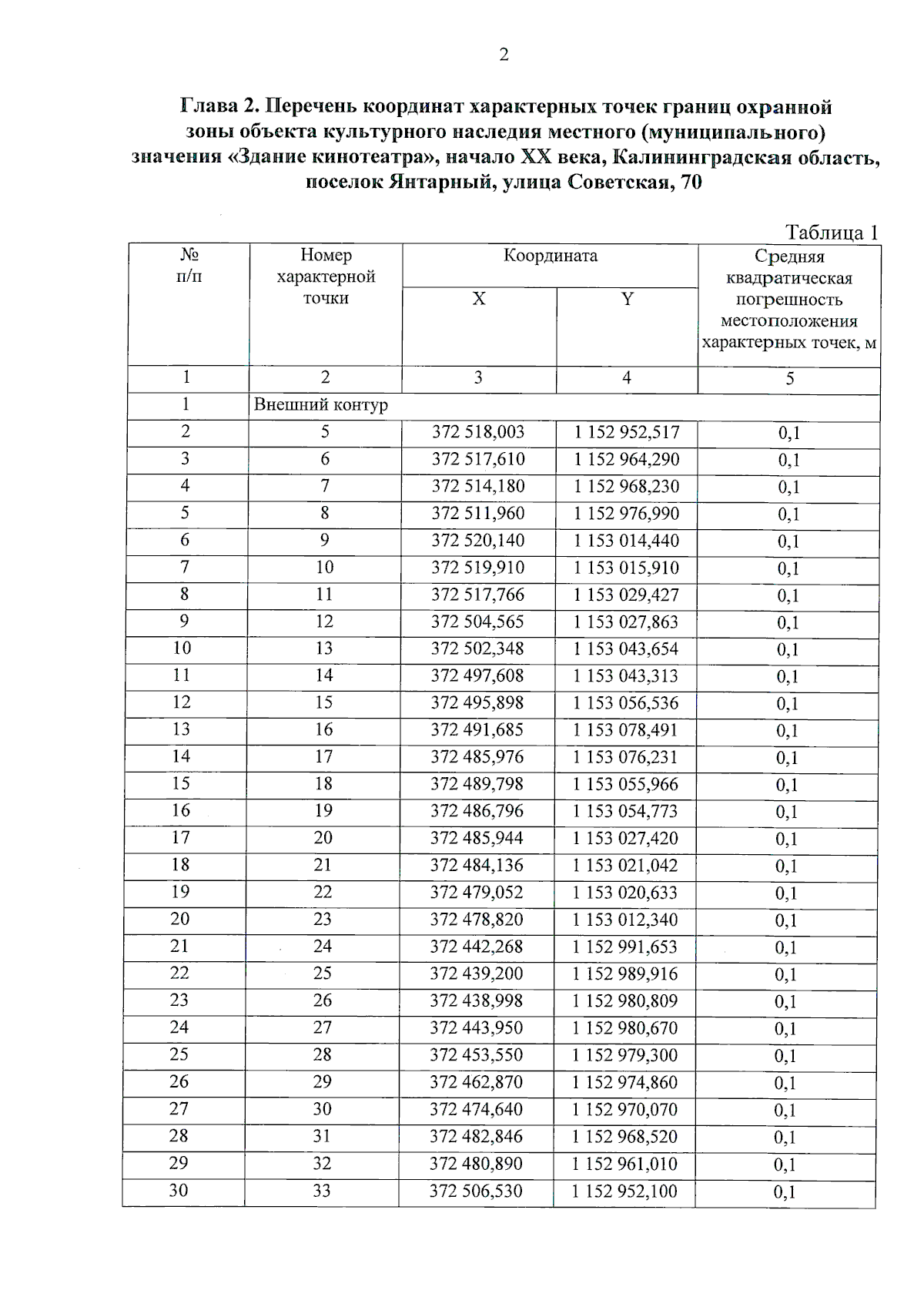
"Об установлении зон охраны объекта культурного наследия местного (муниципального) значения "Здание кинотеатра", начало ХХ века, Калининградская область, поселок Янтарный, улица Советская, 70, и об утверждении требований к градостроительным регламентам в границах территорий данных зон"
(Зарегистрирован 15.08.2023 № ГР/702/2023)
"Об установлении зон охраны объекта культурного наследия местного (муниципального) значения "Здание кинотеатра", начало ХХ века, Калининградская область, поселок Янтарный, улица Советская, 70, и об утверждении требований к градостроительным регламентам в границах территорий данных зон"
(Зарегистрирован 15.08.2023 № ГР/702/2023)
Номер опубликования: 3901202308160001
Дата опубликования:
16.08.2023
