Официальное опубликование правовых актов
ОФИЦИАЛЬНОЕ ОПУБЛИКОВАНИЕ
Приказ Министерства градостроительной политики Калининградской области от 01.08.2023 № 333
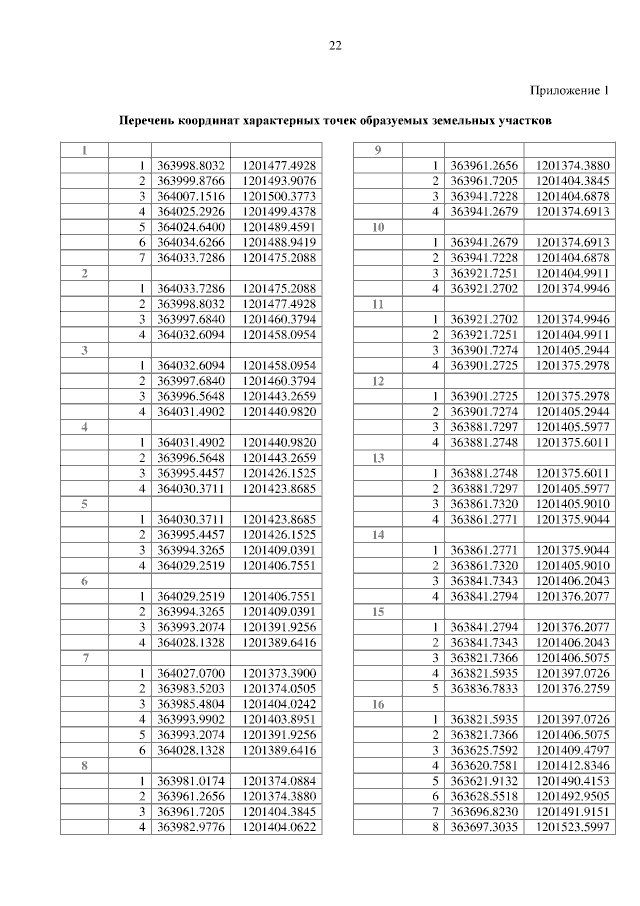
"Об утверждении проекта планировки территории с проектом межевания в его составе в поселке Константиновка муниципального образования "Гурьевский муниципальный округ Калининградской области"
(Зарегистрирован 03.08.2023 № ГР/681/2023)
Номер опубликования: 3901202308040006
Дата опубликования: 04.08.2023
Страница №24 из 27:
Увеличить