Официальное опубликование правовых актов
ОФИЦИАЛЬНОЕ ОПУБЛИКОВАНИЕ
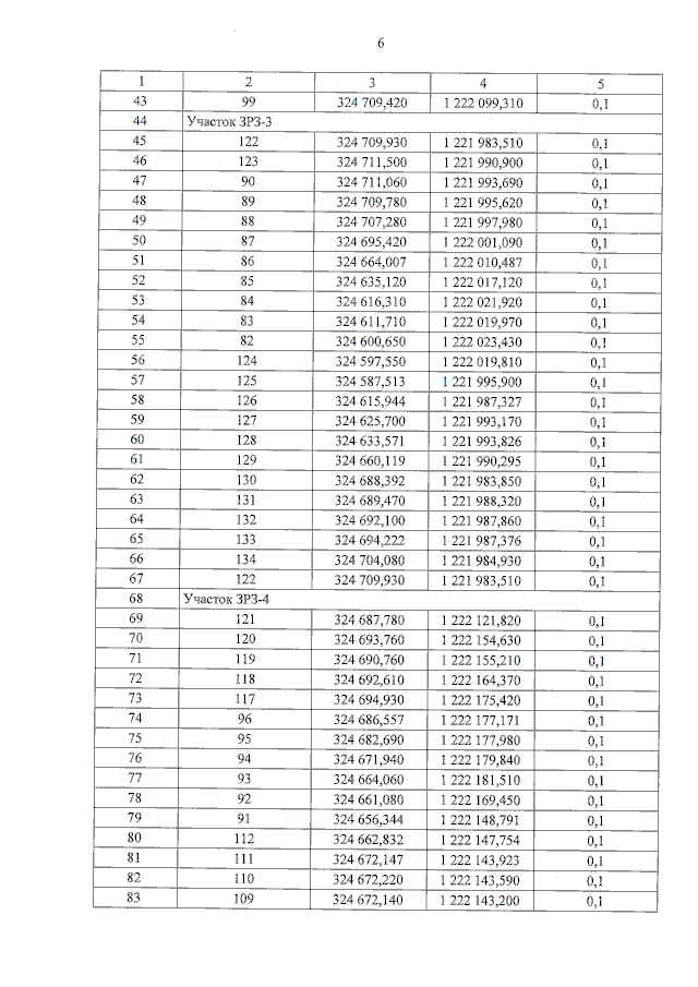
Приказ Службы государственной охраны объектов культурного наследия Калининградской области от 25.05.2023 № 190
"Об установлении зон охраны объекта культурного наследия регионального значения "Остатки городских укреплений", начало XIV века, Калининградская область, город Правдинск, улица Красноармейская, 1, и утверждении требований к градостроительным регламентам в границах территорий данных зон"
(Зарегистрирован 26.05.2023 № ГР/474/2023)
Номер опубликования: 3901202305290014
Дата опубликования: 29.05.2023
Страница №8 из 14:
Увеличить