Официальное опубликование правовых актов
ОФИЦИАЛЬНОЕ ОПУБЛИКОВАНИЕ
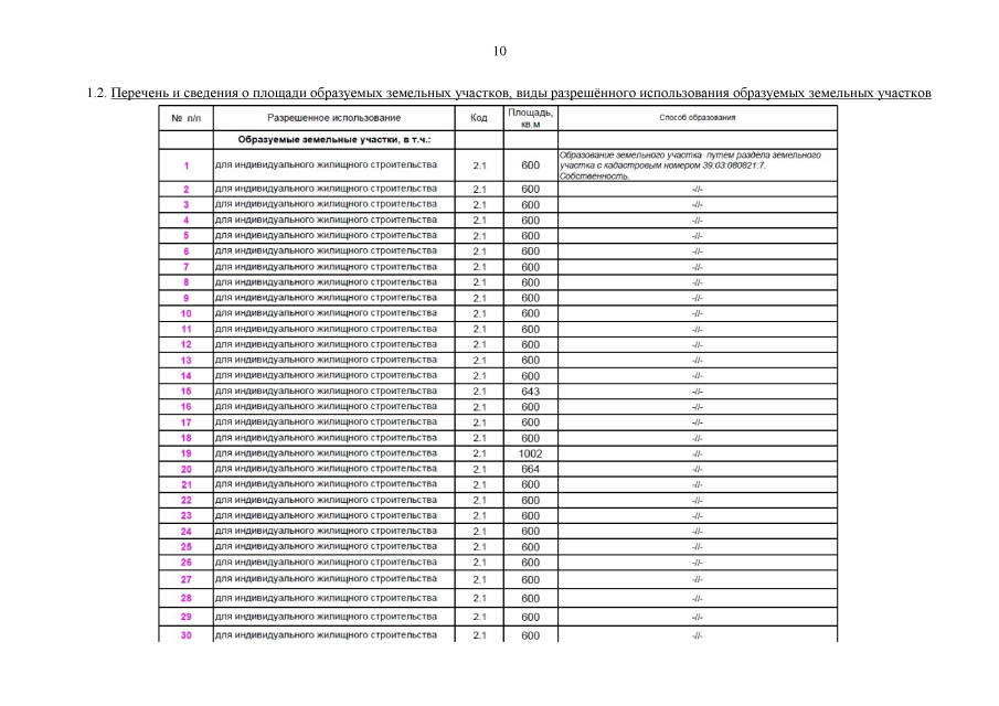
Приказ Агентства по архитектуре, градостроению и перспективному развитию Калининградской области от 15.10.2021 № 444
"Об утверждении проекта планировки территории с проектом межевания в его составе в поселке Голубево муниципального образования "Гурьевский городской округ" Калининградской области"
Номер опубликования: 3901202110210007
Дата опубликования: 21.10.2021
Страница №12 из 23:
Увеличить