Приказ Агентства по архитектуре, градостроению и перспективному развитию Калининградской области от 14.05.2020 № 199
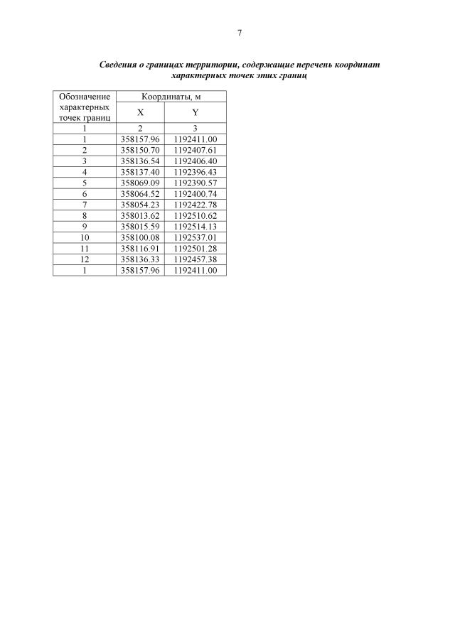
"Об утверждении проекта внесения изменений в проект межевания территории в составе документации по планировке территории "Проект планировки территории с проектом межевания в его составе в границах ул. Пехотная – ул. Арсенальная – ул. Туруханская - ул. Л. Андреева – ул. Старосапёрная в Ленинградском районе"
"Об утверждении проекта внесения изменений в проект межевания территории в составе документации по планировке территории "Проект планировки территории с проектом межевания в его составе в границах ул. Пехотная – ул. Арсенальная – ул. Туруханская - ул. Л. Андреева – ул. Старосапёрная в Ленинградском районе"
Номер опубликования: 3901202005190003
Дата опубликования:
19.05.2020
