Официальное опубликование правовых актов
ОФИЦИАЛЬНОЕ ОПУБЛИКОВАНИЕ
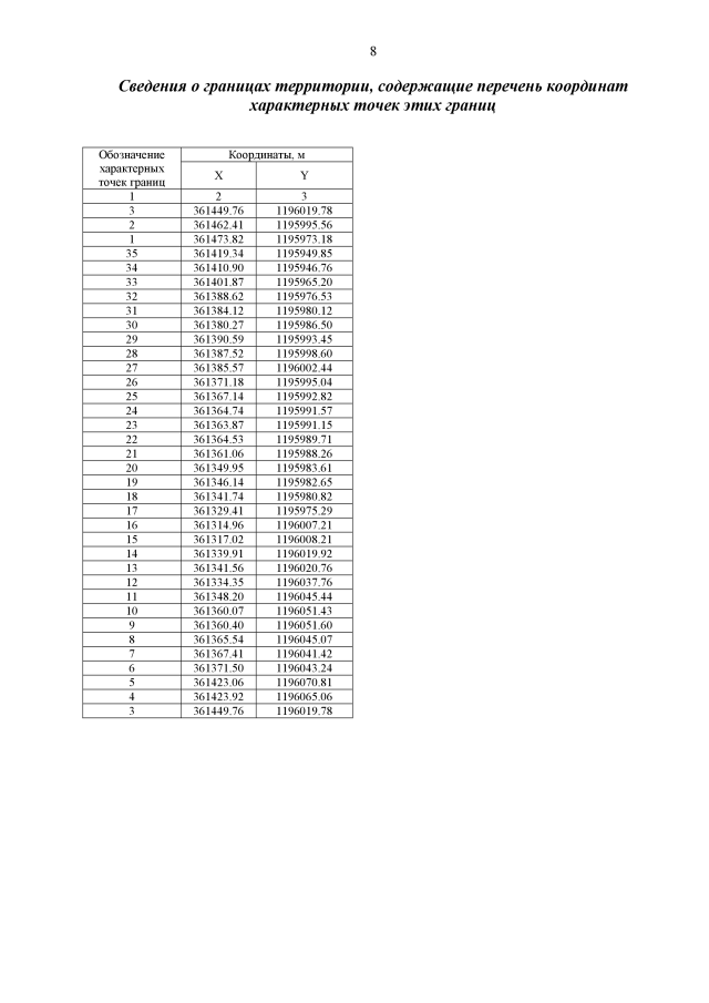
Приказ Агентства по архитектуре, градостроению и перспективному развитию Калининградской области от 13.04.2020 № 155
"Об утверждении проекта межевания территории в границах улиц Красная – Ленина – Зеленая в городе Гурьевске Калининградской области"
Номер опубликования: 3901202004150020
Дата опубликования: 15.04.2020
Страница №10 из 13:
Увеличить