Официальное опубликование правовых актов
ОФИЦИАЛЬНОЕ ОПУБЛИКОВАНИЕ
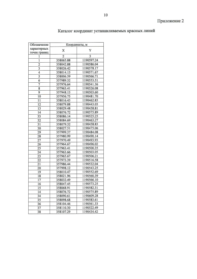
Приказ Агентства по архитектуре, градостроению и перспективному развитию Калининградской области от 31.01.2019 № 47
"О внесении изменений в приказ Агентства по архитектуре, градостроению и перспективному развитию Калининградской области от 23 октября 2018 года № 289"
Номер опубликования: 3901201902080004
Дата опубликования: 08.02.2019
Страница №11 из 11:
Увеличить