Официальное опубликование правовых актов
ОФИЦИАЛЬНОЕ ОПУБЛИКОВАНИЕ
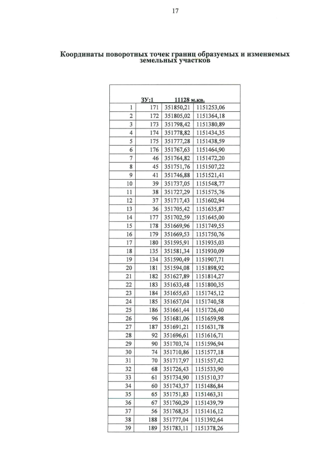
Приказ Агентства по архитектуре, градостроению и перспективному развитию Калининградской области от 31.01.2019 № 48
"О внесении изменений в приказ Агентства по архитектуре, градостроению и перспективному развитию Калининградской области от 22 октября 2018 года № 285"
Номер опубликования: 3901201902080002
Дата опубликования: 08.02.2019
Страница №18 из 41:
Увеличить