Постановление Правительства Калининградской области от 21.02.2024 № 70-п
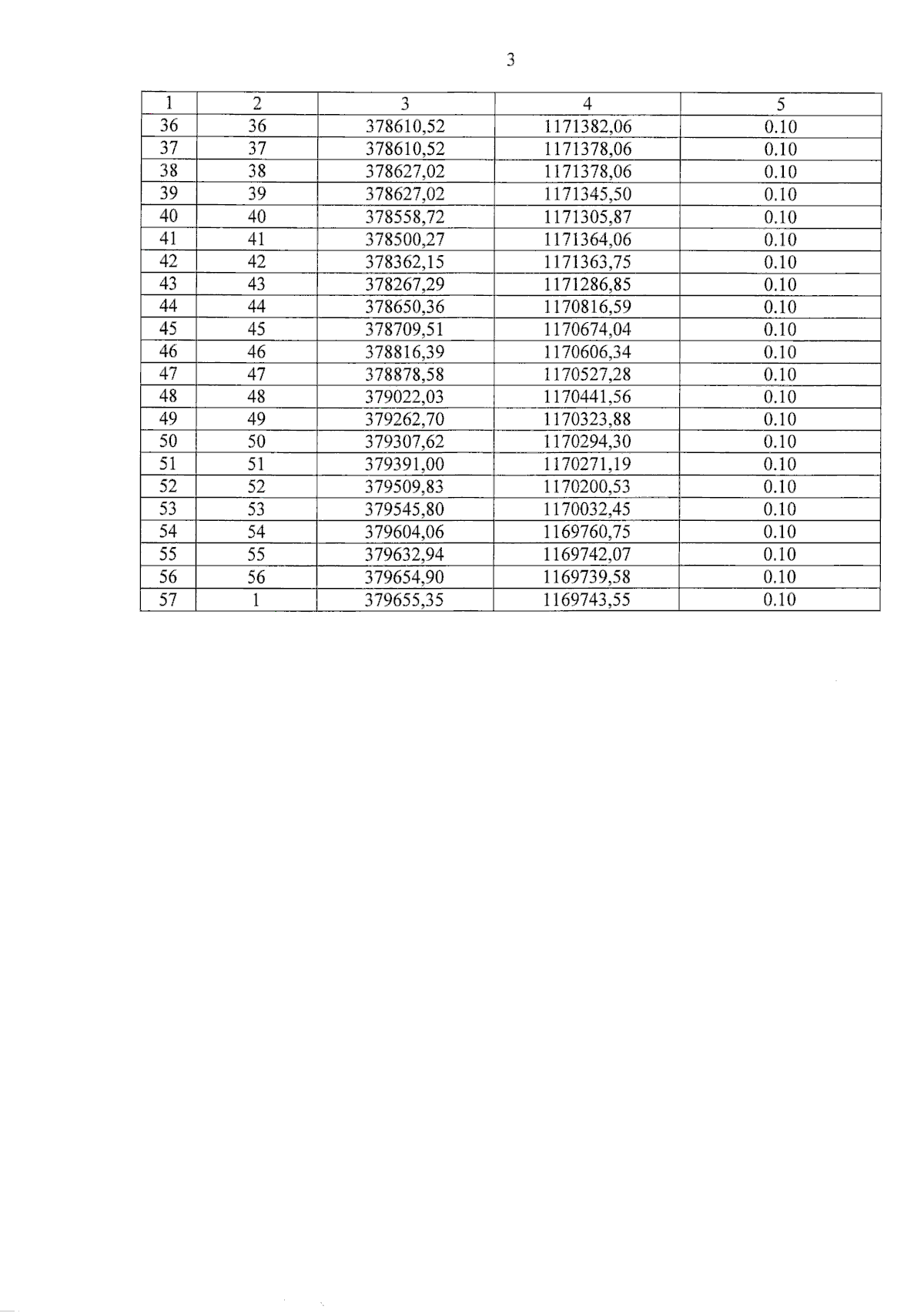
"Об установлении публичного сервитута в целях размещения и эксплуатации линейного объекта системы газоснабжения регионального значения "Реконструкция ГРС г. Светлогорск. Этап 2. Строительство участка распределительного газопровода от новой ГРС до существующей газораспределительной сети"
"Об установлении публичного сервитута в целях размещения и эксплуатации линейного объекта системы газоснабжения регионального значения "Реконструкция ГРС г. Светлогорск. Этап 2. Строительство участка распределительного газопровода от новой ГРС до существующей газораспределительной сети"
Номер опубликования: 3900202402220004
Дата опубликования:
22.02.2024
