Официальное опубликование правовых актов
ОФИЦИАЛЬНОЕ ОПУБЛИКОВАНИЕ
Постановление Правительства Калининградской области от 17.04.2019 № 267
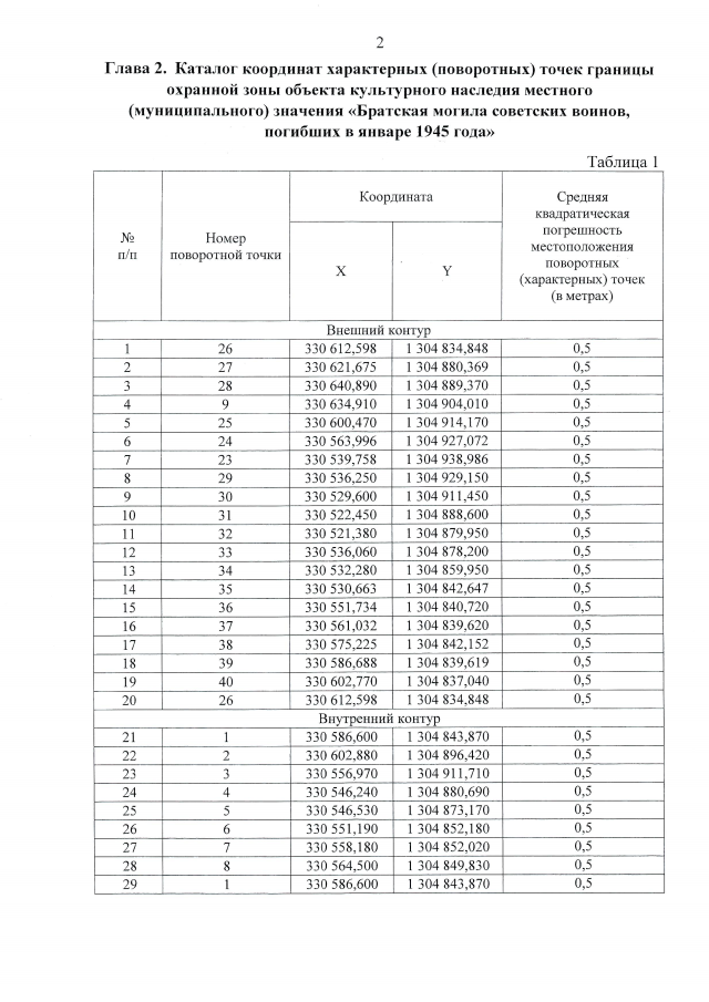
"Об утверждении границ зон охраны объекта культурного наследия местного (муниципального) значения "Братская могила советских воинов, погибших в январе 1945 года", особых режимов использования земель и требований к градостроительным регламентам в границах данных зон"
Номер опубликования: 3900201904220001
Дата опубликования: 22.04.2019
Страница №4 из 9:
Увеличить