Официальное опубликование правовых актов
ОФИЦИАЛЬНОЕ ОПУБЛИКОВАНИЕ
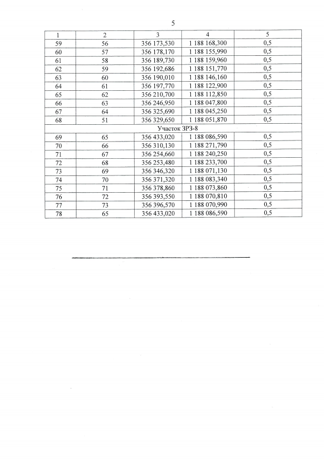
Постановление Правительства Калининградской области от 25.02.2019 № 132
"Об утверждении границ зон охраны объекта культурного наследия регионального значения "Здание сельскохозяйственной палаты", особых режимов использования земель и требований к градостроительным регламентам в границах данных зон и внесении изменений в постановление Правительства Калининградской области от 06 июня 2013 года № 386"
Номер опубликования: 3900201903040001
Дата опубликования: 04.03.2019
Страница №7 из 12:
Увеличить