Официальное опубликование правовых актов
ОФИЦИАЛЬНОЕ ОПУБЛИКОВАНИЕ
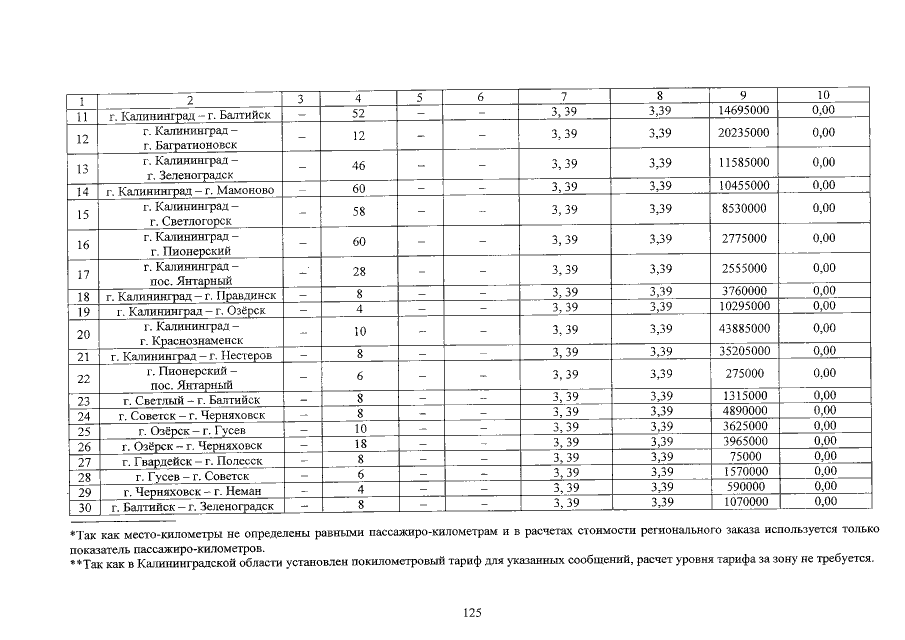
Постановление Правительства Калининградской области от 29.02.2016 № 99
"О комплексном плане транспортного обслуживания населения Калининградской области на средне- и долгосрочную перспективу до 2030 года в части пригородных пассажирских перевозок"
Номер опубликования: 3900201603040001
Дата опубликования: 04.03.2016
Страница №126 из 128:
Увеличить