Официальное опубликование правовых актов
ОФИЦИАЛЬНОЕ ОПУБЛИКОВАНИЕ
Приказ Министерства природных ресурсов и экологии Иркутской области от 22.03.2024 № 66-17-мпр
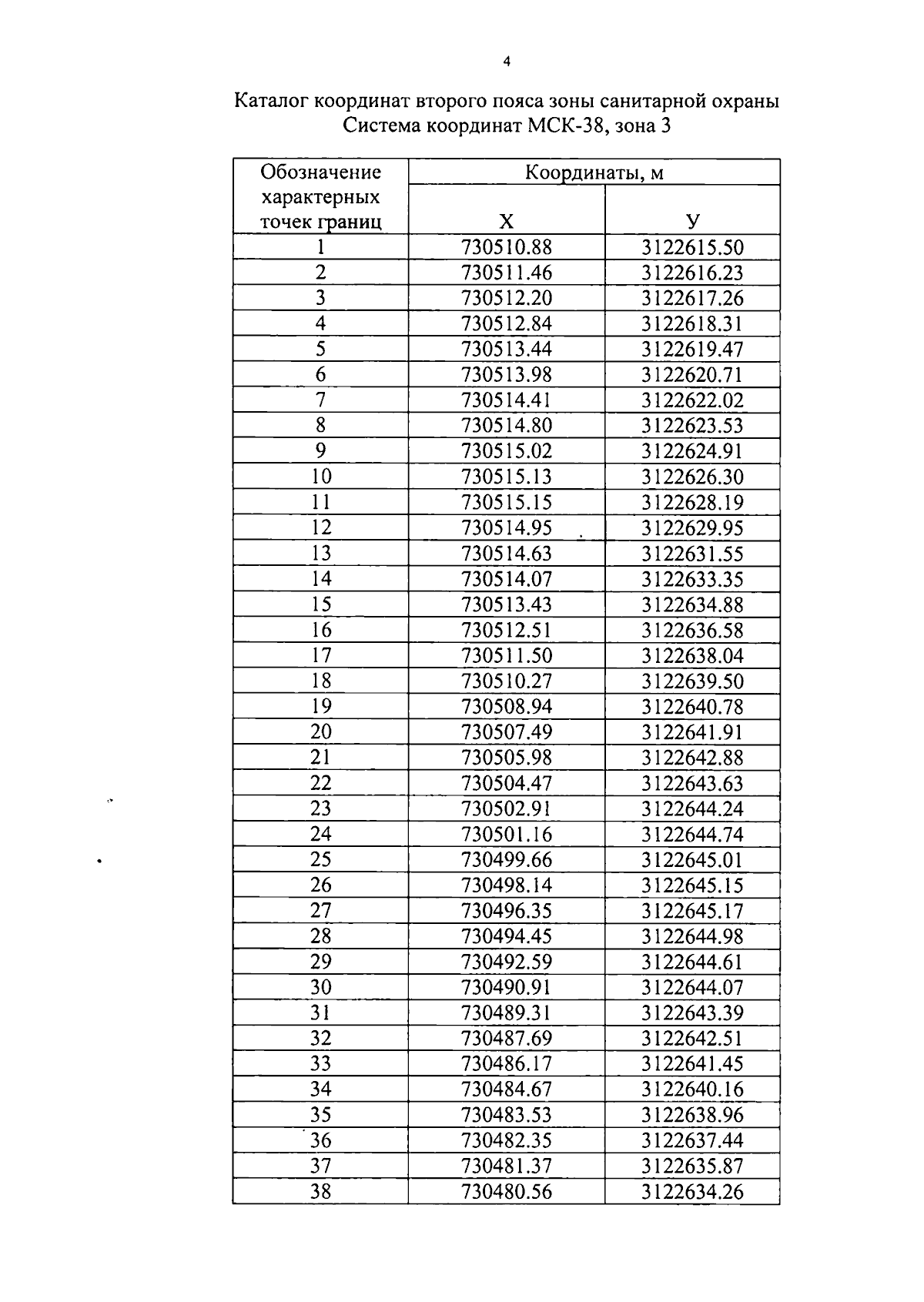
"Об установлении зоны санитарной охраны водозабора подземных вод со скважиной №б/н по ул. Набережная, участок 46, стр. 14 для хозяйственно-питьевого водоснабжения в с. Тангуй Братского района Иркутской области устанавливающий границы ЗСО подземного водоисточника и ограничения использования земельных участков в границах поясов ЗСО"
(Зарегистрирован 26.03.2024 № 03-0654/24)
Номер опубликования: 3801202403260001
Дата опубликования: 26.03.2024
Страница №5 из 13:
Увеличить