Официальное опубликование правовых актов
ОФИЦИАЛЬНОЕ ОПУБЛИКОВАНИЕ
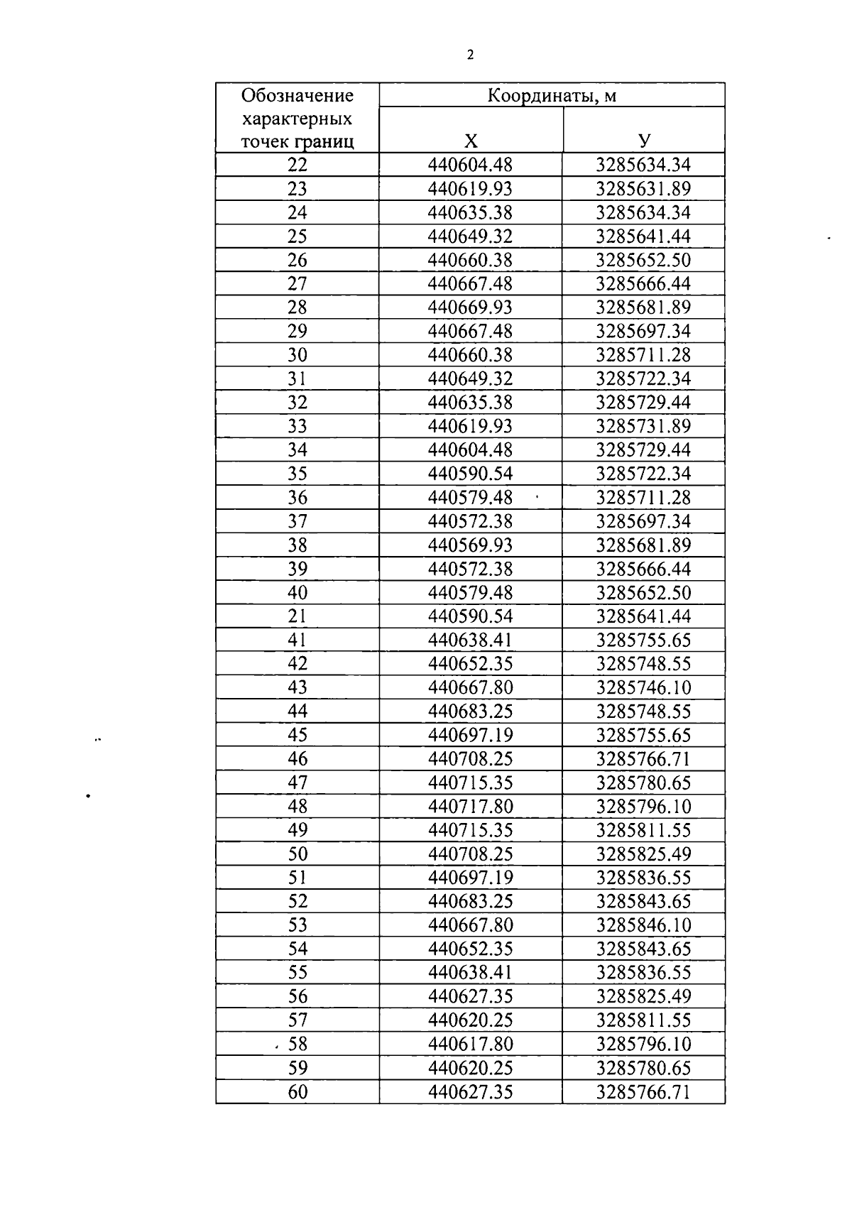
Приказ Министерства природных ресурсов и экологии Иркутской области от 15.03.2024 № 66-15-мпр
"Об установлении зоны санитарной охраны подземных вод для водозабора в п. Белореченский Усольского района Иркутской области"
(Зарегистрирован 15.03.2024 № 03-0585/24)
Номер опубликования: 3801202403180014
Дата опубликования: 18.03.2024
Страница №3 из 12:
Увеличить