Официальное опубликование правовых актов
ОФИЦИАЛЬНОЕ ОПУБЛИКОВАНИЕ
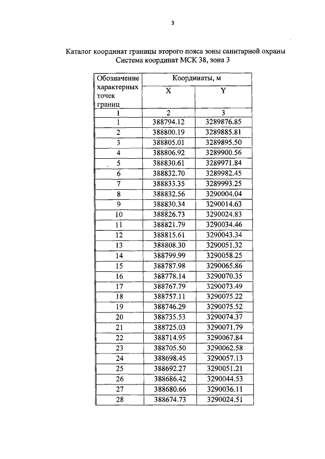
Приказ Министерства природных ресурсов и экологии Иркутской области от 22.10.2019 № 38-мпр
"Об установлении зоны санитарной охраны водозабора подземных вод для хозяйственно-питьевого водоснабжения с. Савватеевка в Ангарском районе Иркутской области"
Номер опубликования: 3801201910250012
Дата опубликования: 25.10.2019
Страница №4 из 12:
Увеличить