Официальное опубликование правовых актов
ОФИЦИАЛЬНОЕ ОПУБЛИКОВАНИЕ
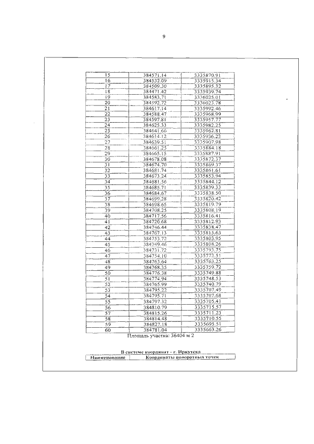
Приказ службы по охране объектов культурного наследия Иркутской области от 17.10.2019 № 330-спр
"Об утверждении охранного обязательства собственника или иного законного владельца памятника входящего в состав объекта культурного наследия регионального значения "Здание Застройка ул. Урицкого", кон. ХIХ - нач. ХХ вв."
Номер опубликования: 3801201910180003
Дата опубликования: 18.10.2019
Страница №12 из 38:
Увеличить