Указ Губернатора Иркутской области от 01.10.2024 № 364-уг
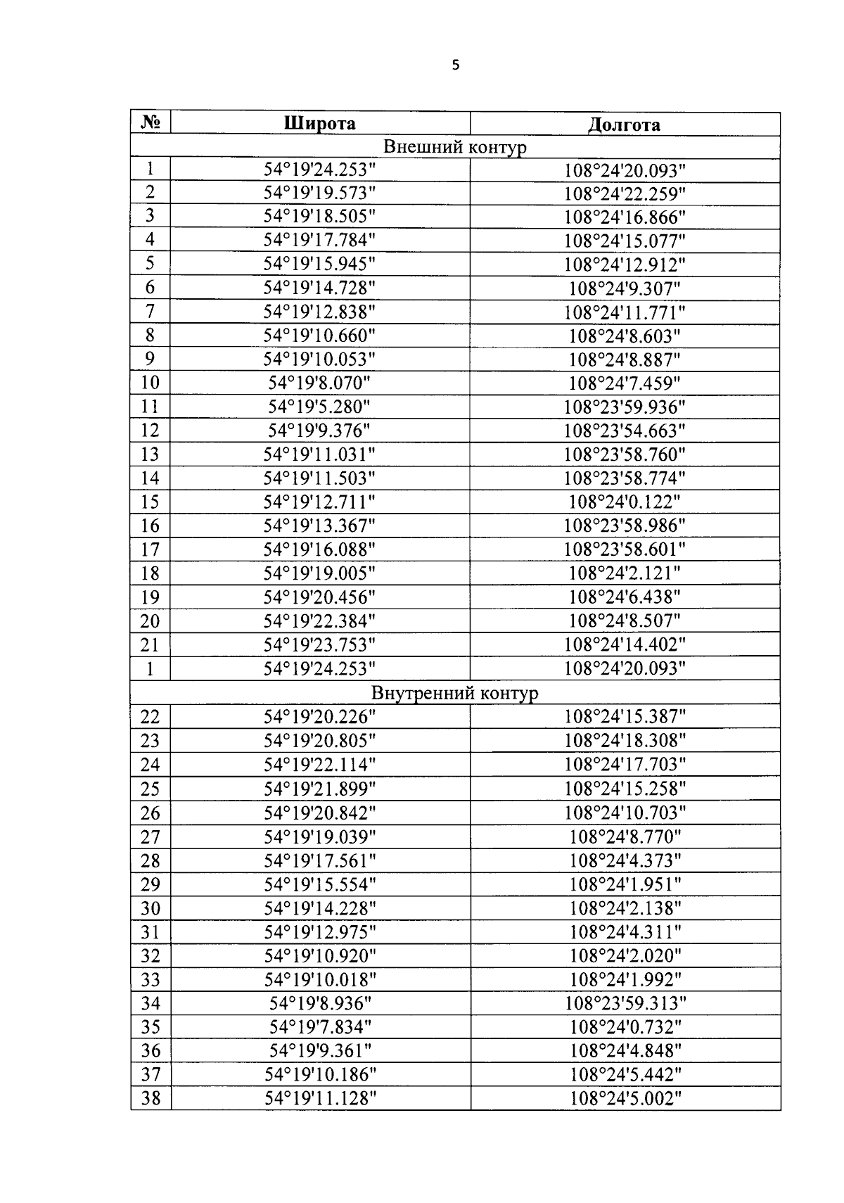
"Об охранной зоне памятника природы регионального значения "Водопад на реке Заворотницкой"
"Об охранной зоне памятника природы регионального значения "Водопад на реке Заворотницкой"
Номер опубликования: 3800202410040007
Дата опубликования:
04.10.2024
