Официальное опубликование правовых актов
ОФИЦИАЛЬНОЕ ОПУБЛИКОВАНИЕ
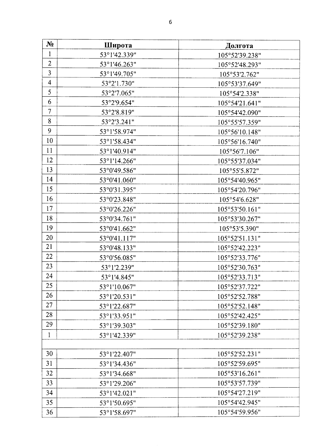
Указ Губернатора Иркутской области от 14.11.2023 № 380-уг
"Об охранной зоне памятника природы регионального значения "Пещера Чекановского"
Номер опубликования: 3800202311200017
Дата опубликования: 20.11.2023
Страница №7 из 12:
Увеличить