Официальное опубликование правовых актов
ОФИЦИАЛЬНОЕ ОПУБЛИКОВАНИЕ
Приказ министерства архитектуры и градостроительства Воронежской области от 13.01.2026 № 45-01-04/1
"О внесении изменений в правила землепользования и застройки Морозовского сельского поселения Россошанского муниципального района Воронежской области"
(Зарегистрирован 02.02.2026 № 11)
Номер опубликования: 3601202602030004
Дата опубликования: 03.02.2026
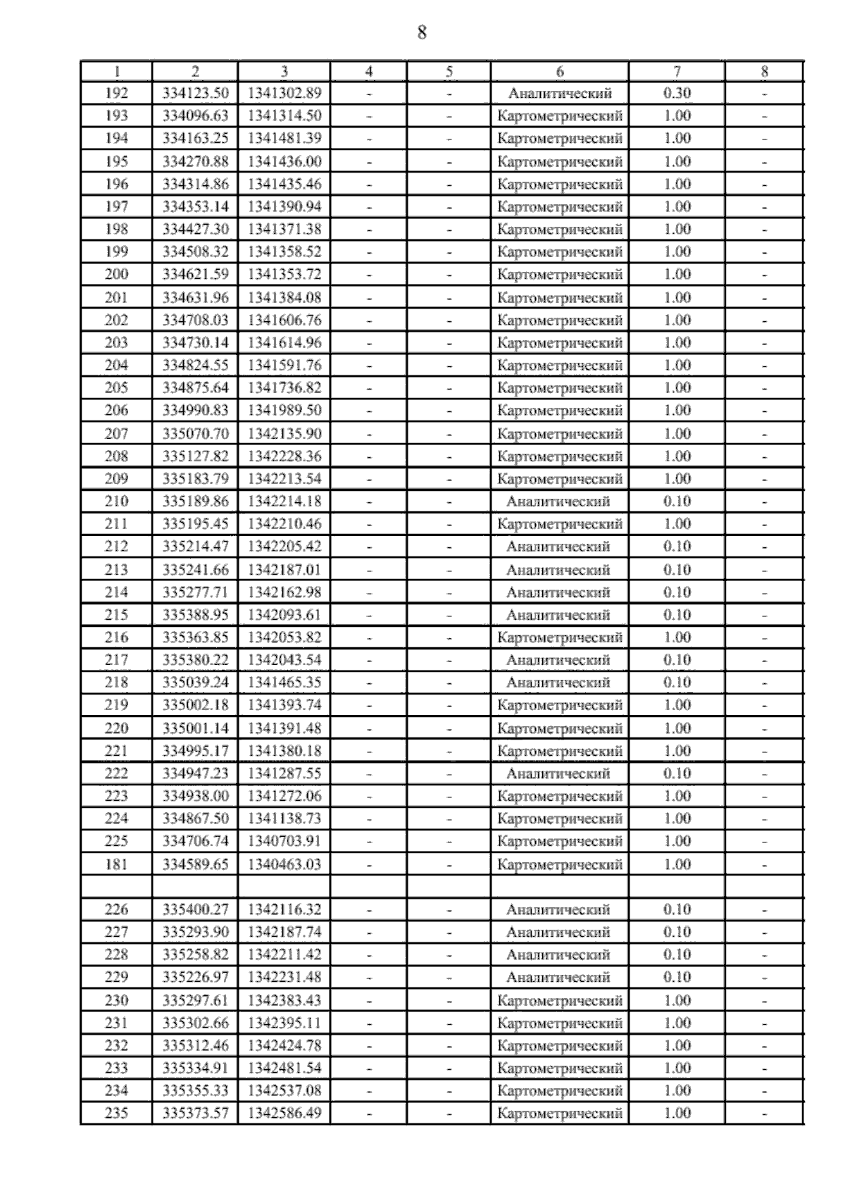
Страница №45 из 76:
Увеличить