Официальное опубликование правовых актов
ОФИЦИАЛЬНОЕ ОПУБЛИКОВАНИЕ
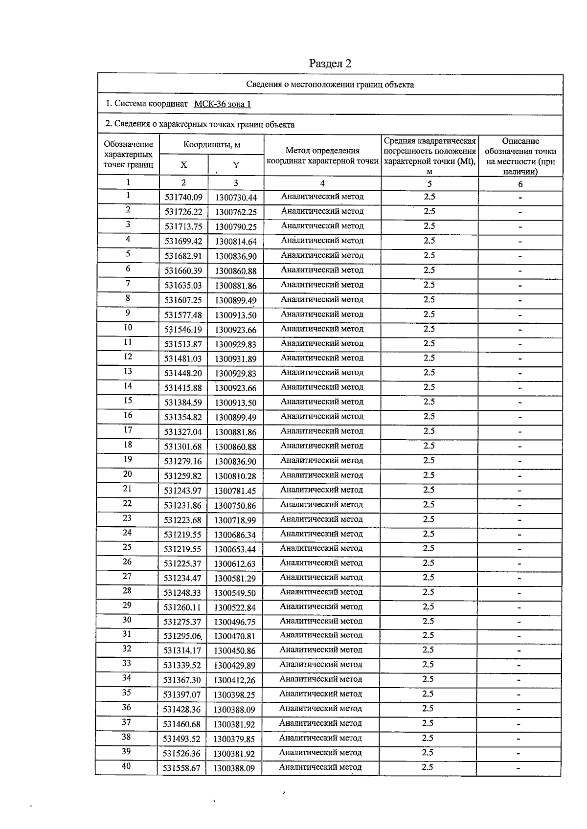
Приказ министерства природных ресурсов и экологии Воронежской области от 13.10.2025 № 428
"Об установлении зон санитарной охраны двух проектируемых скважин № 1, № 2 на питьевые, хозяйственно-бытовые и технологические нужды ООО "Созвездие"
(Зарегистрирован 23.10.2025 № 1184)
Номер опубликования: 3601202510270005
Дата опубликования: 27.10.2025
Страница №16 из 18:
Увеличить