Официальное опубликование правовых актов
ОФИЦИАЛЬНОЕ ОПУБЛИКОВАНИЕ
Приказ управления по охране объектов культурного наследия Воронежской области от 09.07.2025 № 71-01-05/138
"О внесении изменений в приказ управления по охране объектов культурного наследия Воронежской области от 14.10.2019 № 71-01-07/241"
(Зарегистрирован 01.08.2025 № 803)
Номер опубликования: 3601202508050004
Дата опубликования: 05.08.2025
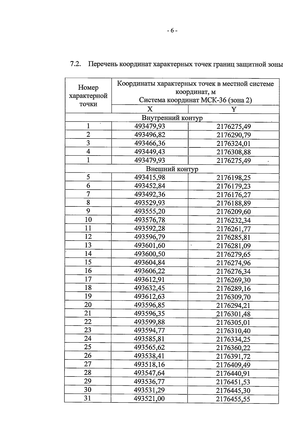
Страница №6 из 34:
Увеличить