Официальное опубликование правовых актов
ОФИЦИАЛЬНОЕ ОПУБЛИКОВАНИЕ
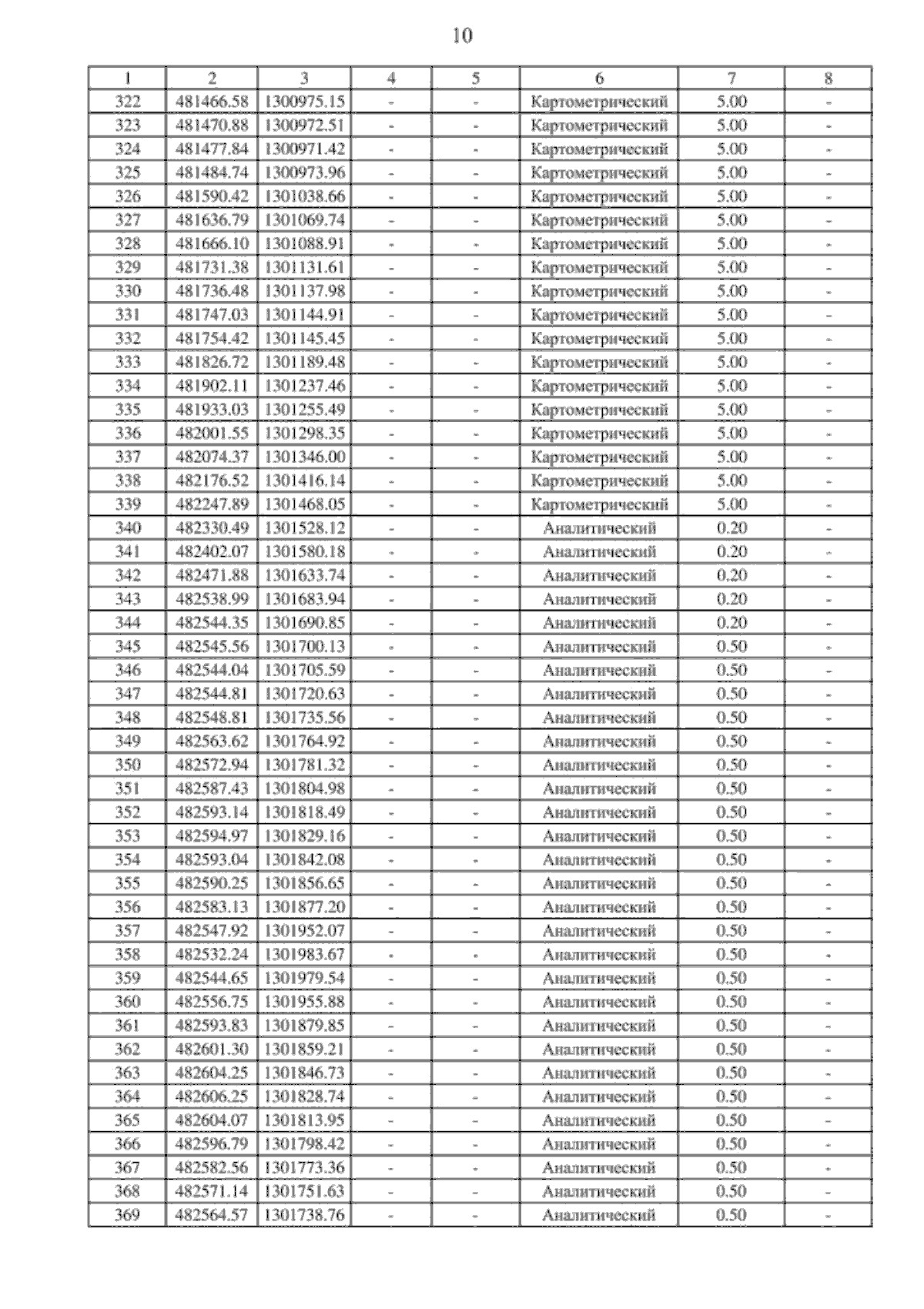
Приказ министерства архитектуры и градостроительства Воронежской области от 21.02.2025 № 45-01-04/68
"О внесении изменений в правила землепользования и застройки Каменно-Верховского сельского поселения Каширского муниципального района Воронежской области"
(Зарегистрирован 13.03.2025 № 212)
Номер опубликования: 3601202503170013
Дата опубликования: 17.03.2025
Страница №73 из 79:
Увеличить