Официальное опубликование правовых актов
ОФИЦИАЛЬНОЕ ОПУБЛИКОВАНИЕ
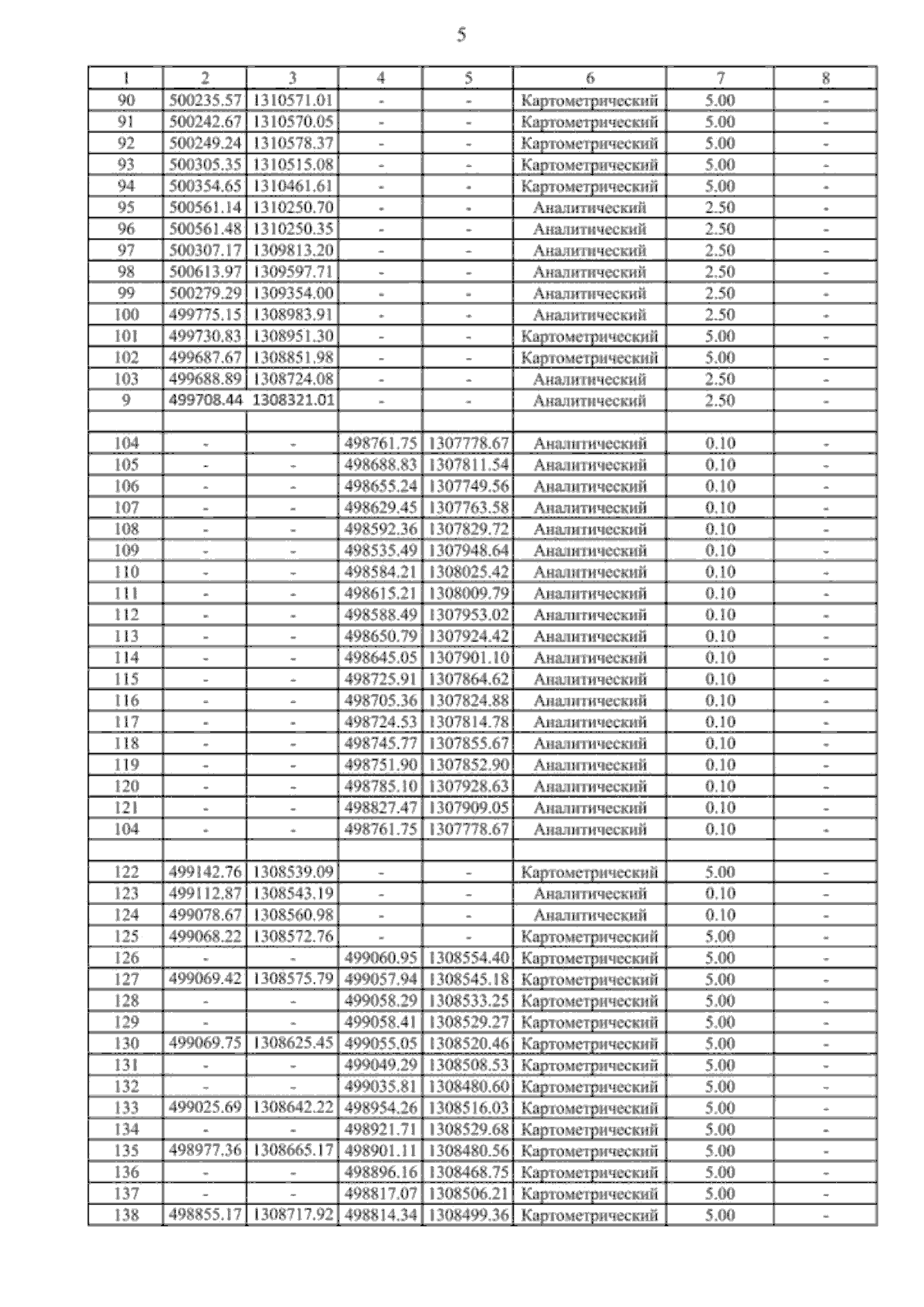
Приказ министерства архитектуры и градостроительства Воронежской области от 26.11.2024 № 45-01-04/560
"О внесении изменений в правила землепользования и застройки Никольского сельского поселения Новоусманского муниципального района Воронежской области"
(Зарегистрирован 12.12.2024 № 1620)
Номер опубликования: 3601202412160003
Дата опубликования: 16.12.2024
Страница №15 из 65:
Увеличить