Официальное опубликование правовых актов
ОФИЦИАЛЬНОЕ ОПУБЛИКОВАНИЕ
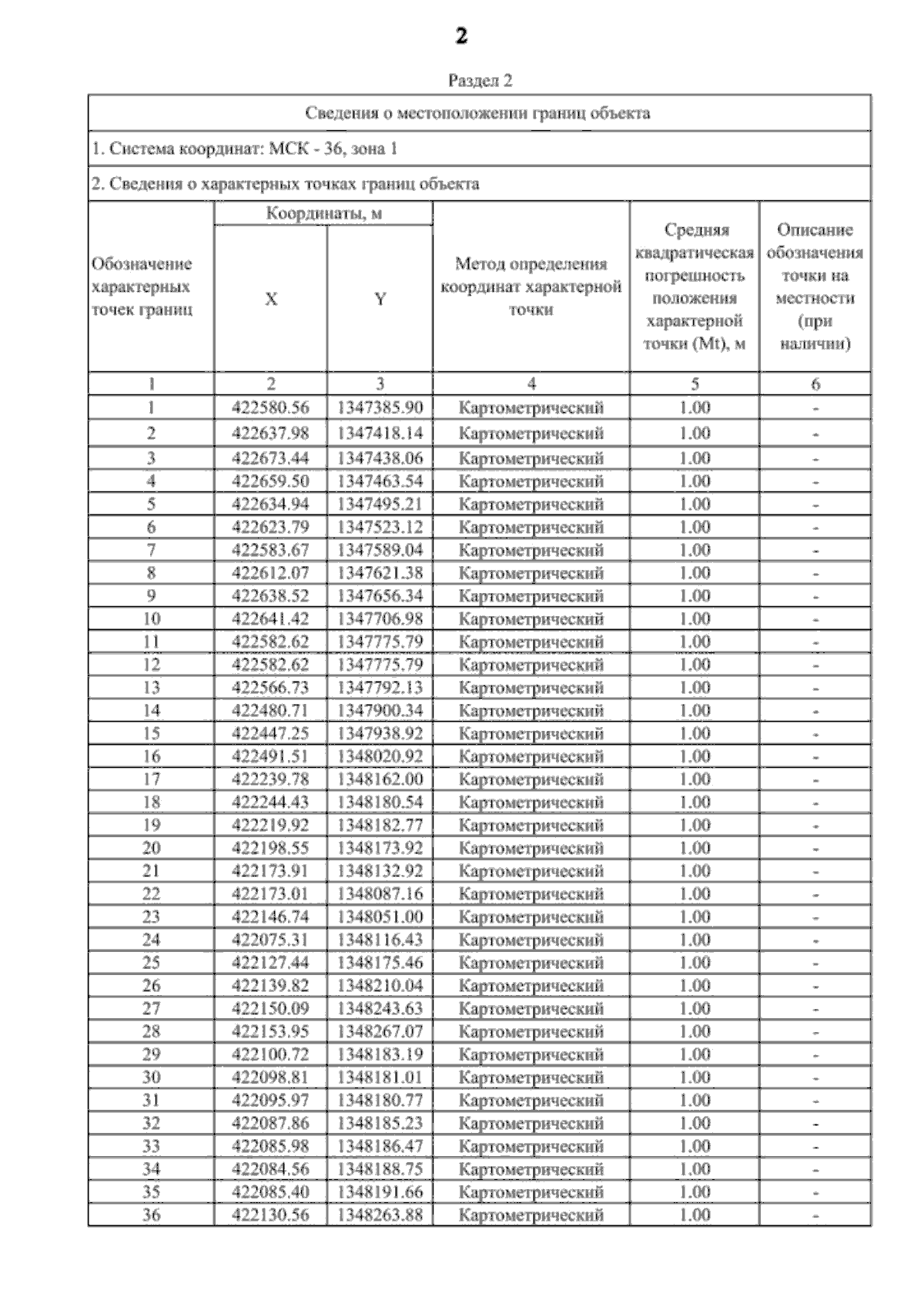
Приказ министерства архитектуры и градостроительства Воронежской области от 01.11.2024 № 45-01-04/494
"О внесении изменений в правила землепользования и застройки Петропавловского сельского поселения Лискинского муниципального района Воронежской области"
(Зарегистрирован 21.11.2024 № 1409)
Номер опубликования: 3601202411220008
Дата опубликования: 22.11.2024
Страница №12 из 29:
Увеличить