Официальное опубликование правовых актов
ОФИЦИАЛЬНОЕ ОПУБЛИКОВАНИЕ
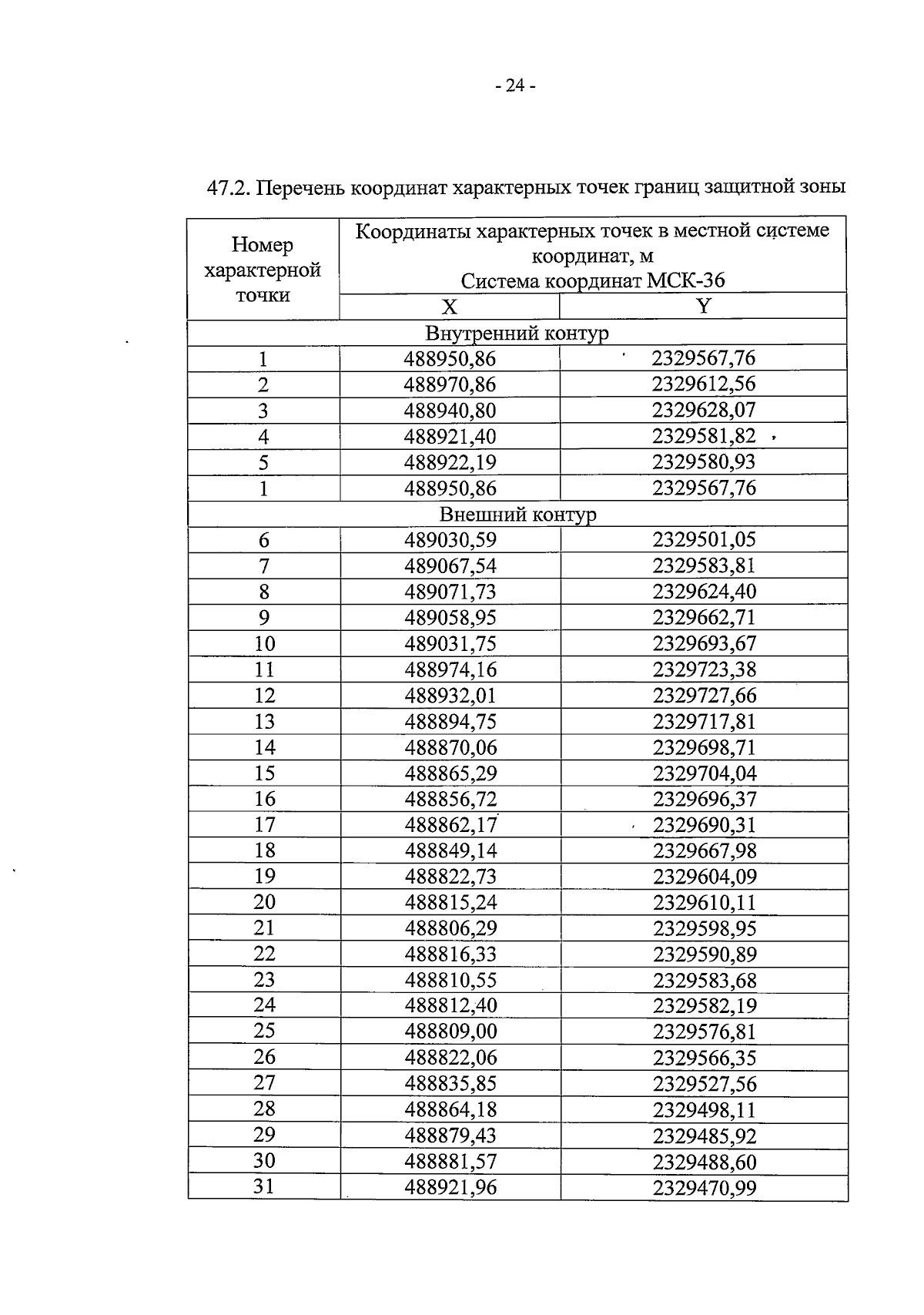
Приказ управления по охране объектов культурного наследия Воронежской области от 29.10.2024 № 71-01-07/508
"О внесении изменений в приказ управления по охране объектов культурного наследия Воронежской области от 29.04.2019 № 71-01-07/115"
(Зарегистрирован 12.11.2024 № 1320)
Номер опубликования: 3601202411130010
Дата опубликования: 13.11.2024
Страница №24 из 28:
Увеличить