Официальное опубликование правовых актов
ОФИЦИАЛЬНОЕ ОПУБЛИКОВАНИЕ
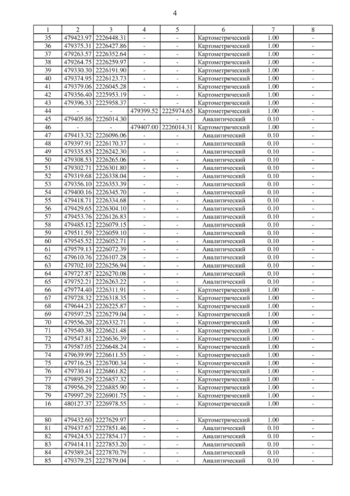
Приказ министерства архитектуры и градостроительства Воронежской области от 30.10.2024 № 45-01-04/468
"О внесении изменений в правила землепользования и застройки Ярковского сельского поселения Новохопёрского муниципального района Воронежской области"
(Зарегистрирован 12.11.2024 № 1316)
Номер опубликования: 3601202411130004
Дата опубликования: 13.11.2024
Страница №27 из 28:
Увеличить