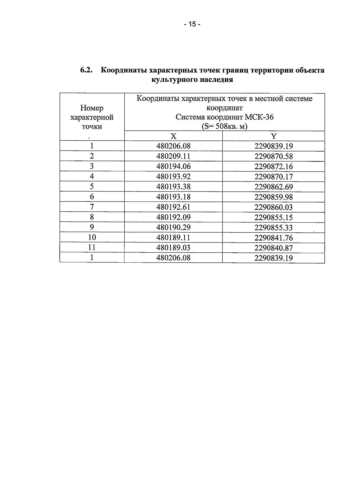
Приказ управления по охране объектов культурного наследия Воронежской области от 03.10.2024 № 71-01-07/451
"Об утверждении границ территорий объектов культурного наследия регионального значения, расположенных на территории Воронежской области"
(Зарегистрирован 17.10.2024 № 1186)
"Об утверждении границ территорий объектов культурного наследия регионального значения, расположенных на территории Воронежской области"
(Зарегистрирован 17.10.2024 № 1186)
Номер опубликования: 3601202410210006
Дата опубликования:
21.10.2024
