Официальное опубликование правовых актов
ОФИЦИАЛЬНОЕ ОПУБЛИКОВАНИЕ
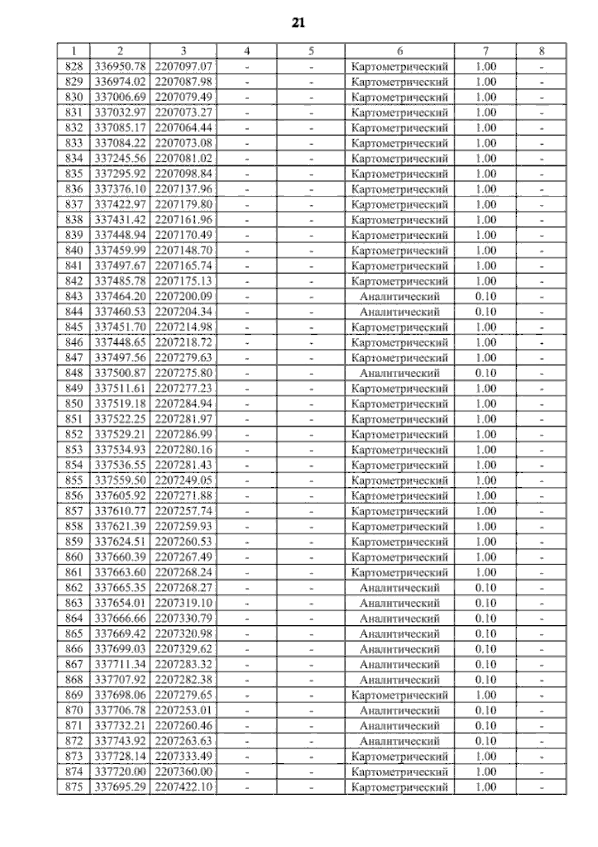
Приказ министерства архитектуры и градостроительства Воронежской области от 03.10.2024 № 45-01-04/415
"О внесении изменений в правила землепользования и застройки Петропавловского сельского поселения Петропавловского муниципального района Воронежской области"
(Зарегистрирован 15.10.2024 № 1179)
Номер опубликования: 3601202410160001
Дата опубликования: 16.10.2024
Страница №29 из 102:
Увеличить