Официальное опубликование правовых актов
ОФИЦИАЛЬНОЕ ОПУБЛИКОВАНИЕ
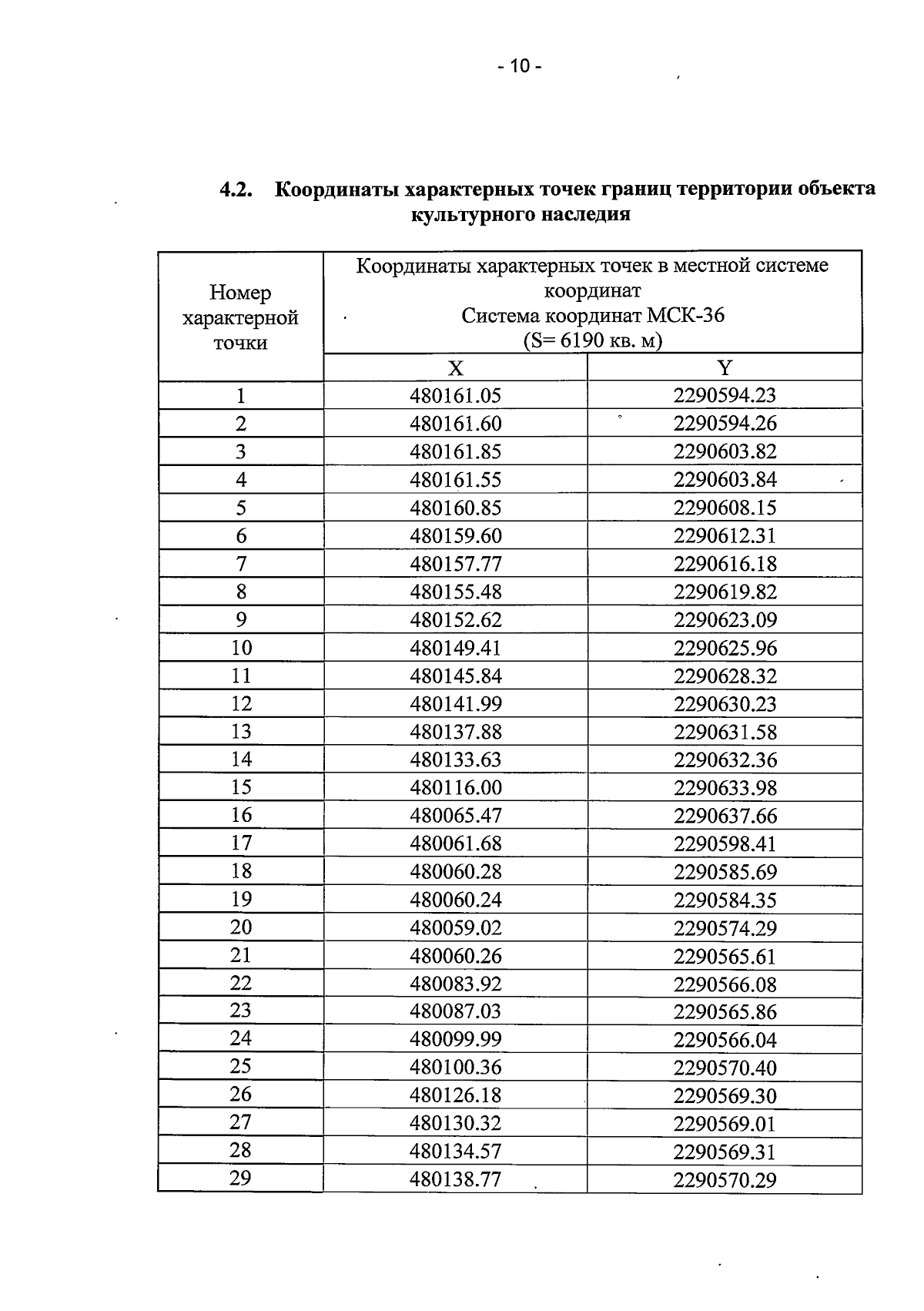
Приказ управления по охране объектов культурного наследия Воронежской области от 13.09.2024 № 71-01-07/430
"Об утверждении границ территорий объектов культурного наследия регионального значения, расположенных на территории Борисоглебского городского округа Воронежской области"
(Зарегистрирован 04.10.2024 № 1111)
Номер опубликования: 3601202410080004
Дата опубликования: 08.10.2024
Страница №10 из 31:
Увеличить