Официальное опубликование правовых актов
ОФИЦИАЛЬНОЕ ОПУБЛИКОВАНИЕ
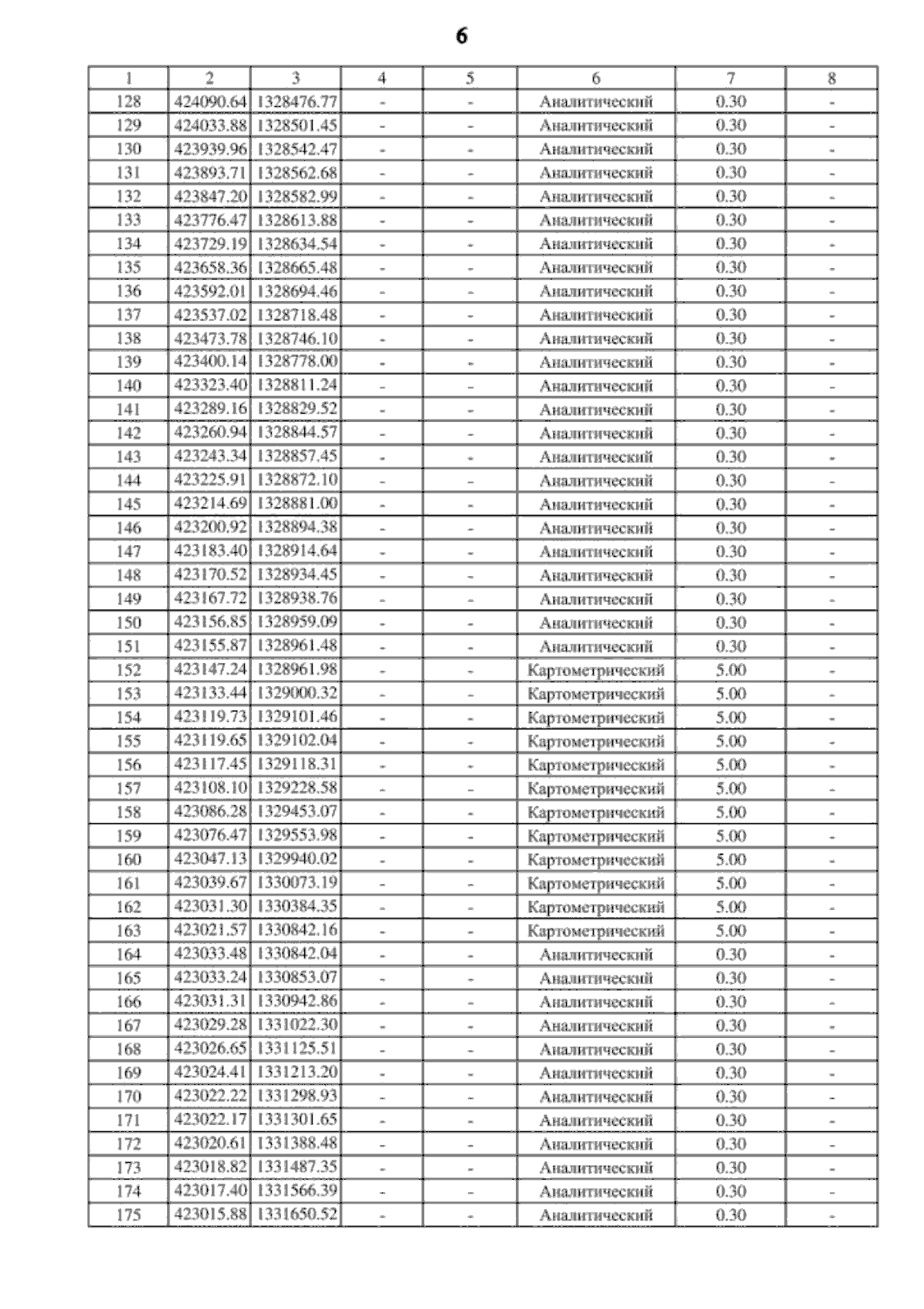
Приказ министерства архитектуры и градостроительства Воронежской области от 16.09.2024 № 45-01-04/355
"О внесении изменений в правила землепользования и застройки Петровского сельского поселения Лискинского муниципального района Воронежской области"
(Зарегистрирован 26.09.2024 № 1072)
Номер опубликования: 3601202409300004
Дата опубликования: 30.09.2024
Страница №15 из 26:
Увеличить