Официальное опубликование правовых актов
ОФИЦИАЛЬНОЕ ОПУБЛИКОВАНИЕ
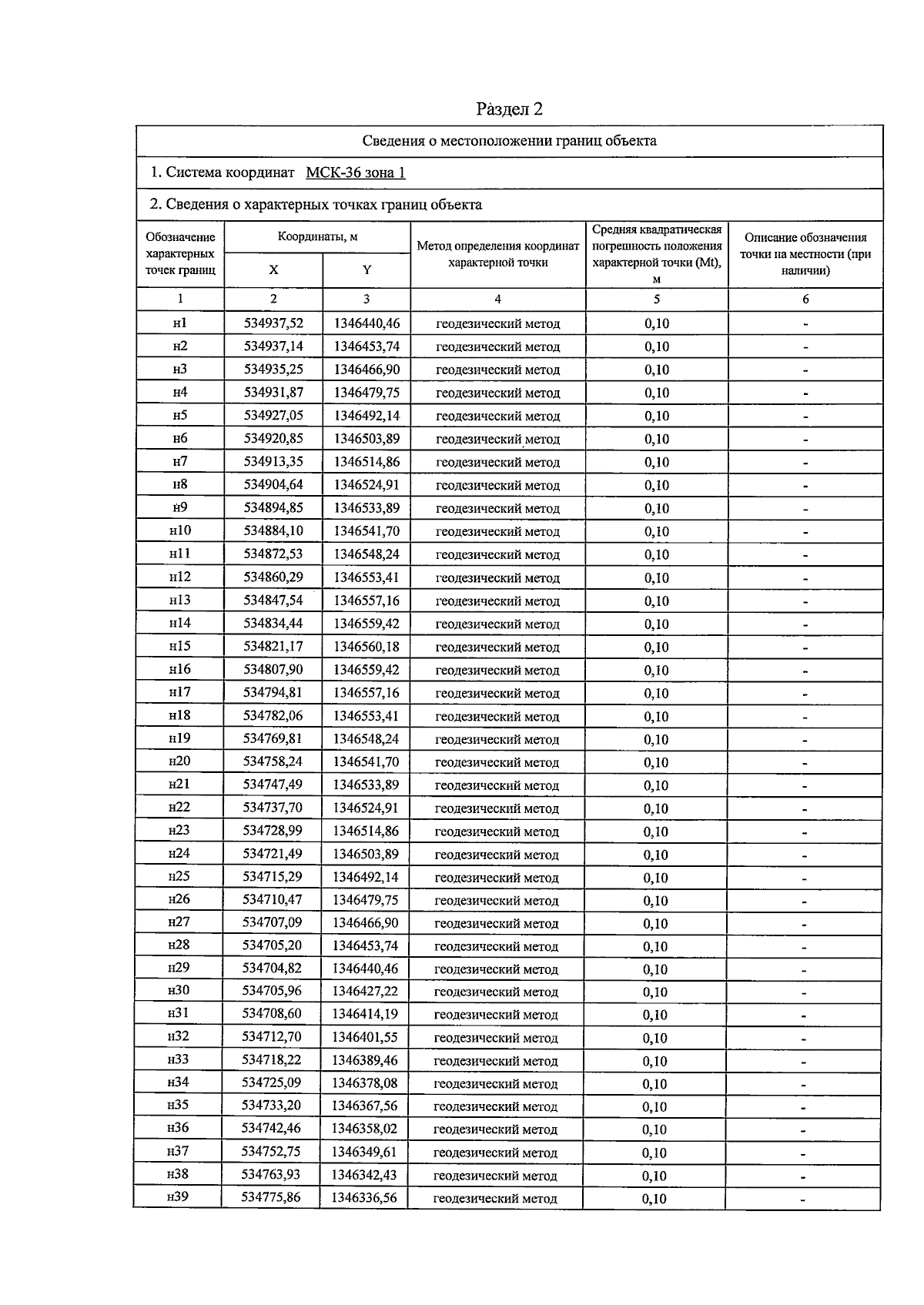
Приказ министерства природных ресурсов и экологии Воронежской области от 01.08.2024 № 301
"Об установлении зон санитарной охраны водозабора в составе одной существующей скважины № 1 для питьевого, хозяйственно-бытового водоснабжения ООО "Аквилон"
(Зарегистрирован 21.08.2024 № 894)
Номер опубликования: 3601202408230004
Дата опубликования: 23.08.2024
Страница №15 из 17:
Увеличить