Официальное опубликование правовых актов
ОФИЦИАЛЬНОЕ ОПУБЛИКОВАНИЕ
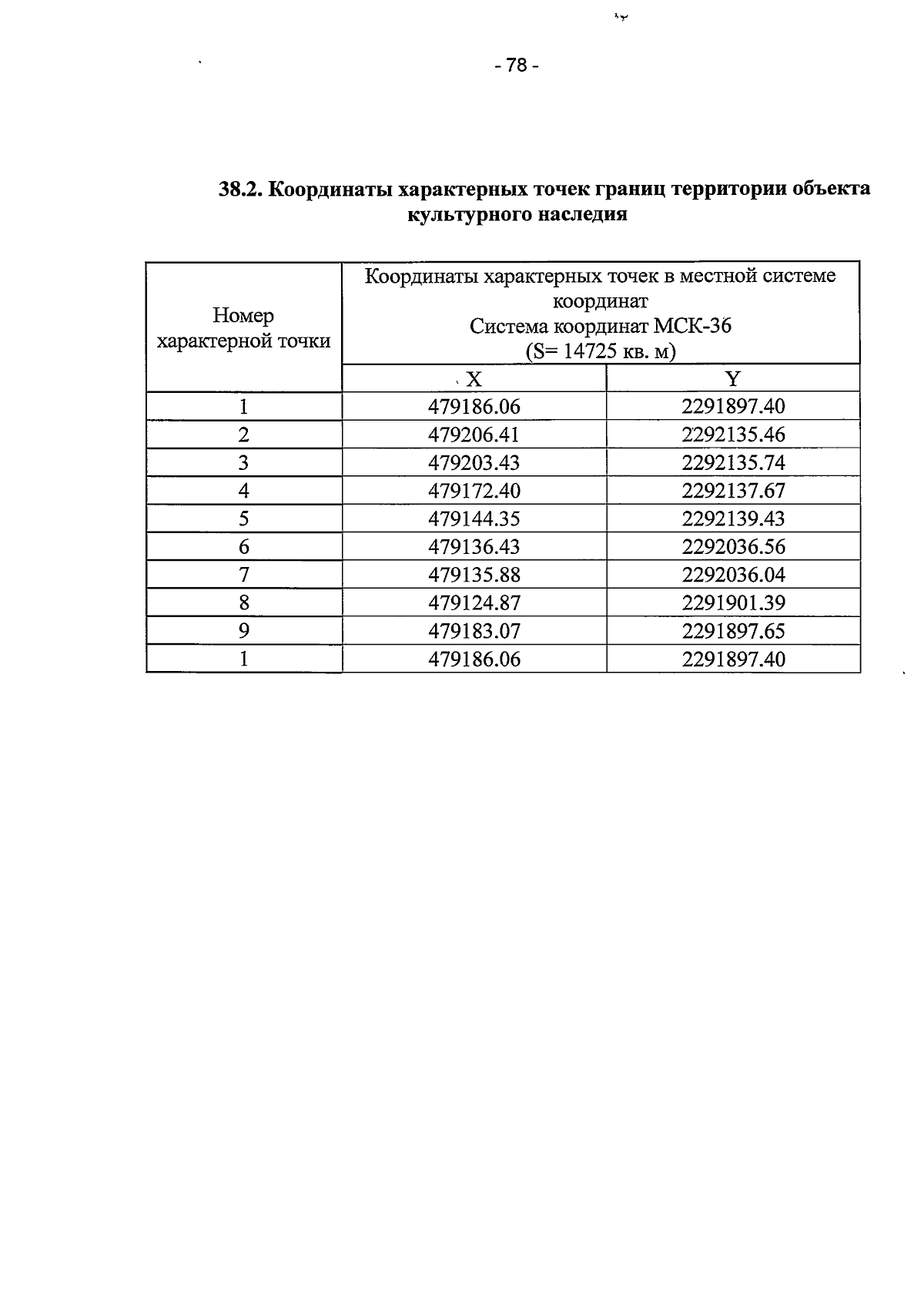
Приказ управления по охране объектов культурного наследия Воронежской области от 22.07.2024 № 71-01-07/371
"Об утверждении границ территорий объектов культурного наследия регионального значения, расположенных на территории Борисоглебского городского округа Воронежской области"
(Зарегистрирован 07.08.2024 № 849)
Номер опубликования: 3601202408130002
Дата опубликования: 13.08.2024
Страница №78 из 78:
Увеличить