Официальное опубликование правовых актов
ОФИЦИАЛЬНОЕ ОПУБЛИКОВАНИЕ
Приказ министерства архитектуры и градостроительства Воронежской области от 15.07.2024 № 45-01-04/267
"О внесении изменений в правила землепользования и застройки Песковского сельского поселения Петропавловского муниципального района Воронежской области"
(Зарегистрирован 22.07.2024 № 807)
Номер опубликования: 3601202407220003
Дата опубликования: 22.07.2024
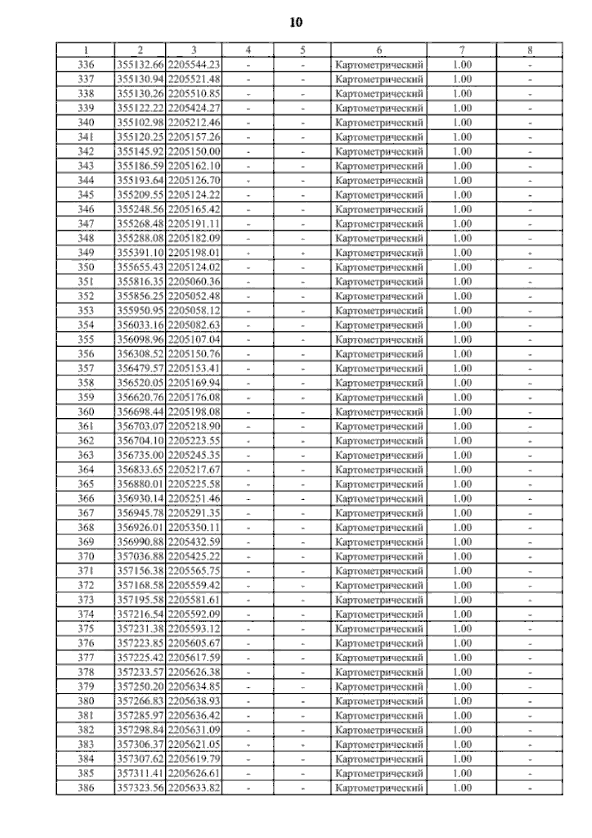
Страница №16 из 22:
Увеличить