Официальное опубликование правовых актов
ОФИЦИАЛЬНОЕ ОПУБЛИКОВАНИЕ
Приказ министерства архитектуры и градостроительства Воронежской области от 04.07.2024 № 45-01-04/255
"О внесении изменений в правила землепользования и застройки городского поселения – город Лиски Лискинского муниципального района Воронежской области"
(Зарегистрирован 12.07.2024 № 766)
Номер опубликования: 3601202407150002
Дата опубликования: 15.07.2024
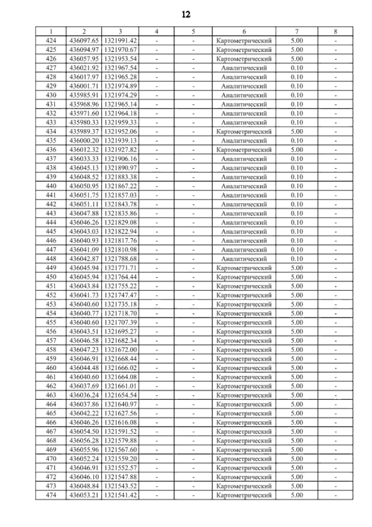
Страница №254 из 268:
Увеличить