Официальное опубликование правовых актов
ОФИЦИАЛЬНОЕ ОПУБЛИКОВАНИЕ
Приказ министерства архитектуры и градостроительства Воронежской области от 28.06.2024 № 45-01-04/231
"О внесении изменений в правила землепользования и застройки городского поселения – город Калач Калачеевского муниципального района Воронежской области"
(Зарегистрирован 11.07.2024 № 758)
Номер опубликования: 3601202407110003
Дата опубликования: 11.07.2024
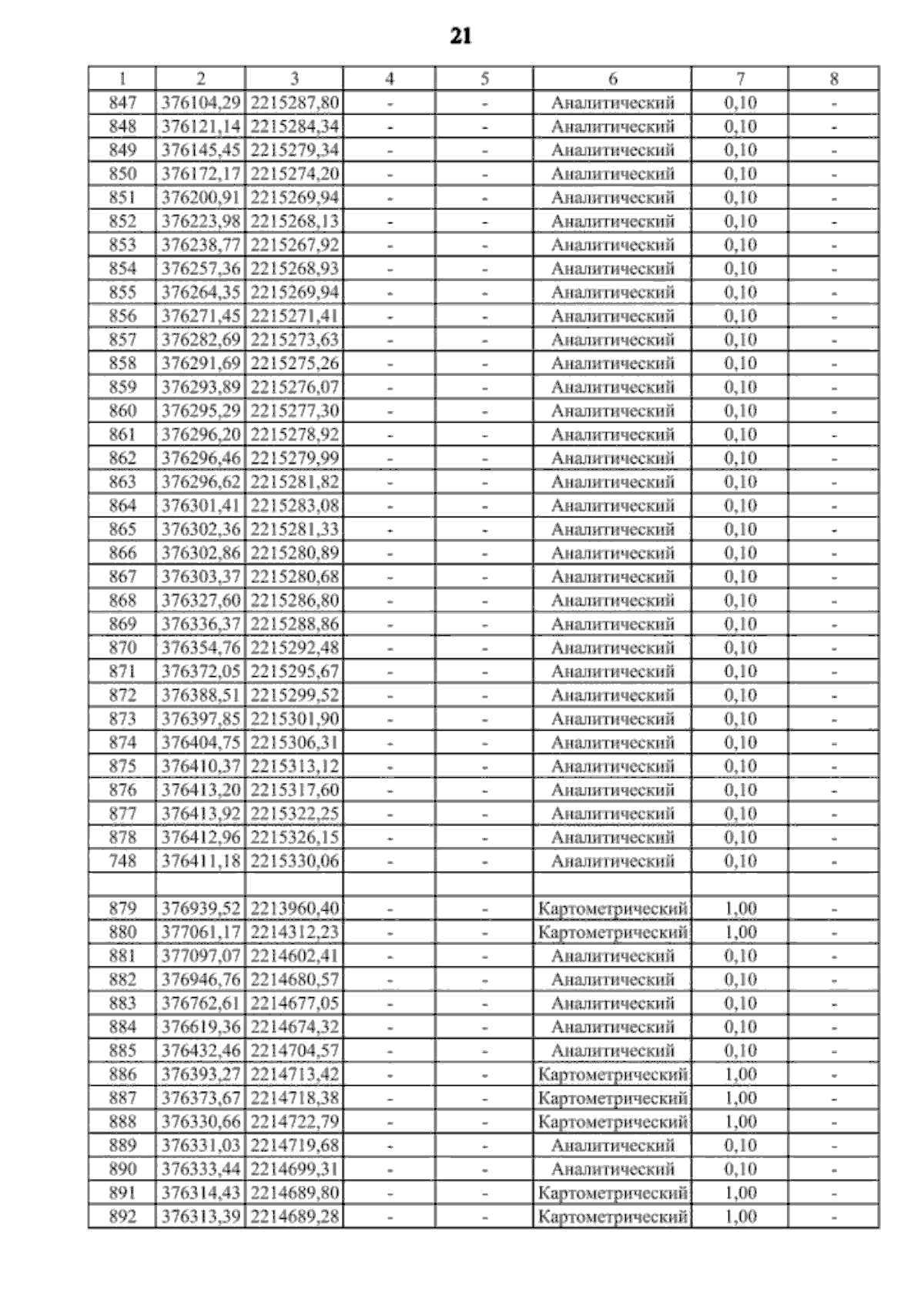
Страница №27 из 134:
Увеличить