Официальное опубликование правовых актов
ОФИЦИАЛЬНОЕ ОПУБЛИКОВАНИЕ
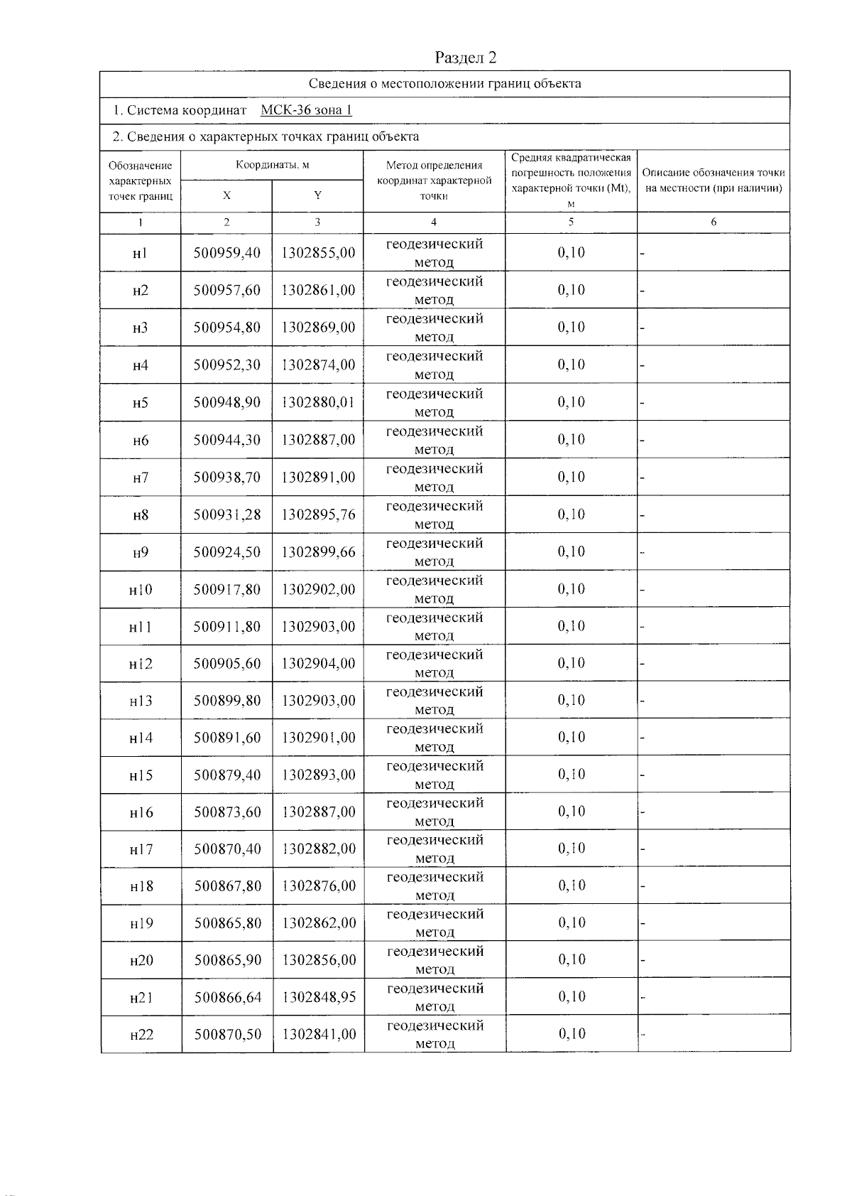
Приказ министерства природных ресурсов и экологии Воронежской области от 31.05.2024 № 191
"Об установлении зон санитарной охраны скважины № 79344 для питьевого, хозяйственно-бытового водоснабжения МКП "Воронежтеплосеть"
(Зарегистрирован 18.06.2024 № 662)
Номер опубликования: 3601202406200005
Дата опубликования: 20.06.2024
Страница №12 из 17:
Увеличить