Официальное опубликование правовых актов
ОФИЦИАЛЬНОЕ ОПУБЛИКОВАНИЕ
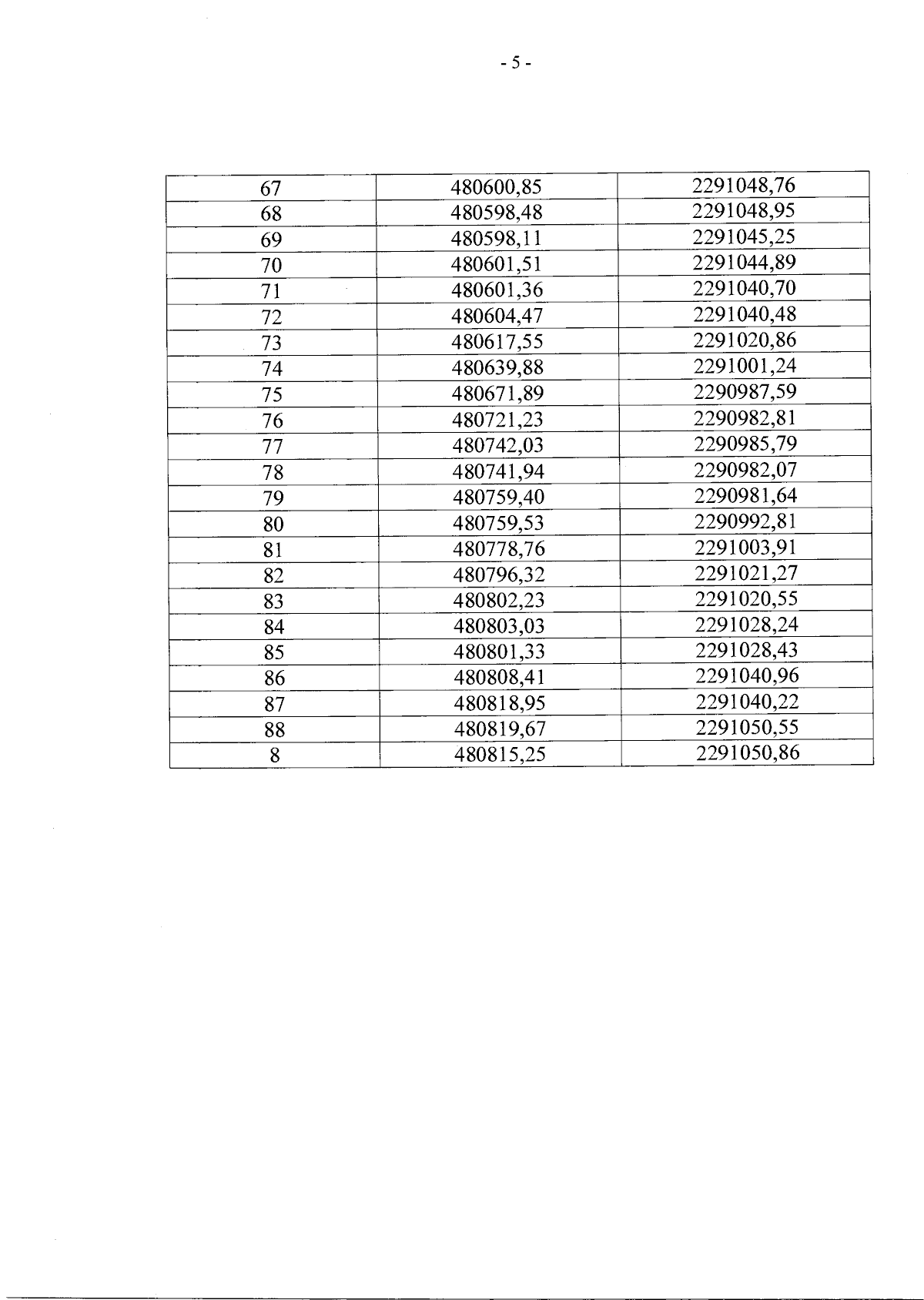
Приказ управления по охране объектов культурного наследия Воронежской области от 22.02.2024 № 71-01-07/92
"О внесении изменений в приказ управления по охране объектов культурного наследия Воронежской области от 29.04.2019 № 71-01-07/115"
(Зарегистрирован 11.03.2024 № 245)
Номер опубликования: 3601202403130001
Дата опубликования: 13.03.2024
Страница №5 из 25:
Увеличить