Официальное опубликование правовых актов
ОФИЦИАЛЬНОЕ ОПУБЛИКОВАНИЕ
Приказ министерства архитектуры и градостроительства Воронежской области от 27.02.2024 № 45-01-04/66
"О внесении изменений в правила землепользования и застройки городского поселения – город Россошь Россошанского муниципального района Воронежской области"
(Зарегистрирован 11.03.2024 № 242)
Номер опубликования: 3601202403110004
Дата опубликования: 11.03.2024
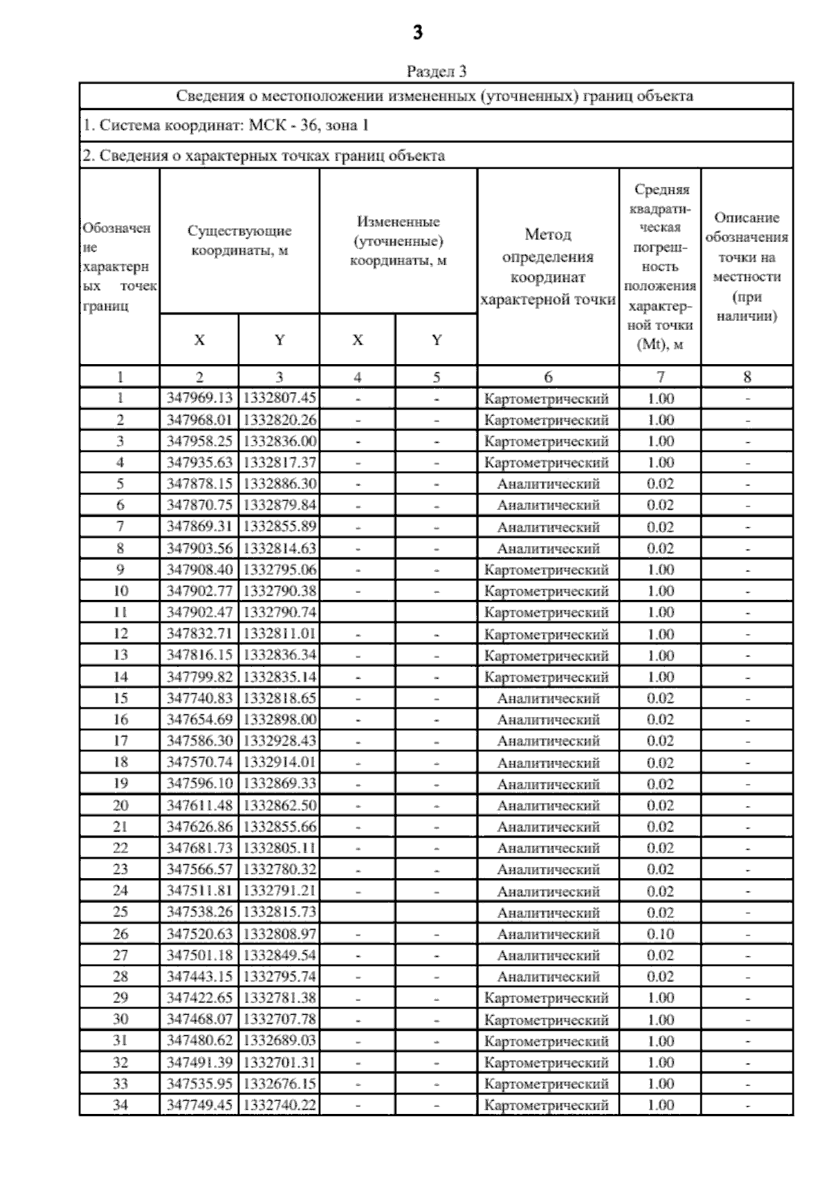
Страница №307 из 308:
Увеличить