Официальное опубликование правовых актов
ОФИЦИАЛЬНОЕ ОПУБЛИКОВАНИЕ
Приказ министерства архитектуры и градостроительства Воронежской области от 29.11.2023 № 45-01-04/1211
"О внесении изменений в правила землепользования и застройки Дзержинского сельского поселения Каширского муниципального района Воронежской области"
(Зарегистрирован 13.12.2023 № 1899)
Номер опубликования: 3601202312150011
Дата опубликования: 15.12.2023
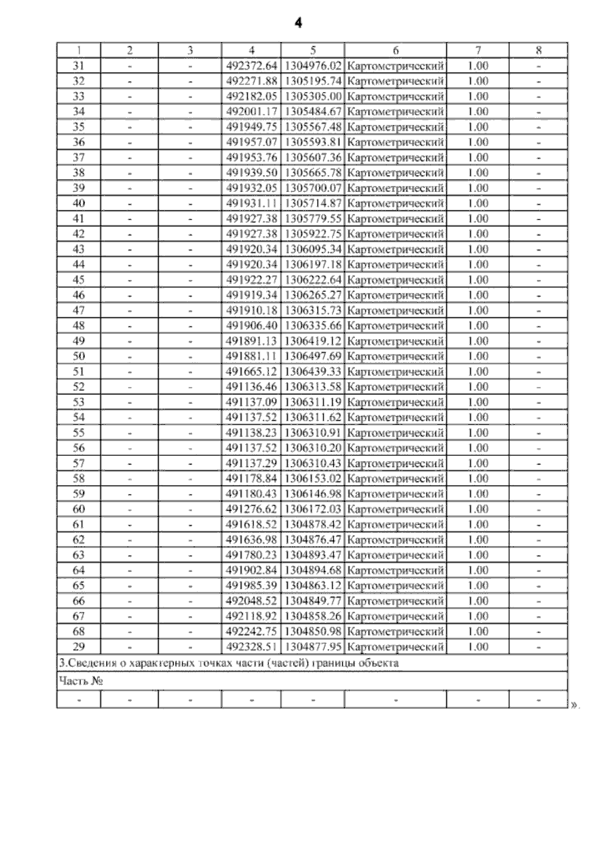
Страница №17 из 26:
Увеличить