Официальное опубликование правовых актов
ОФИЦИАЛЬНОЕ ОПУБЛИКОВАНИЕ
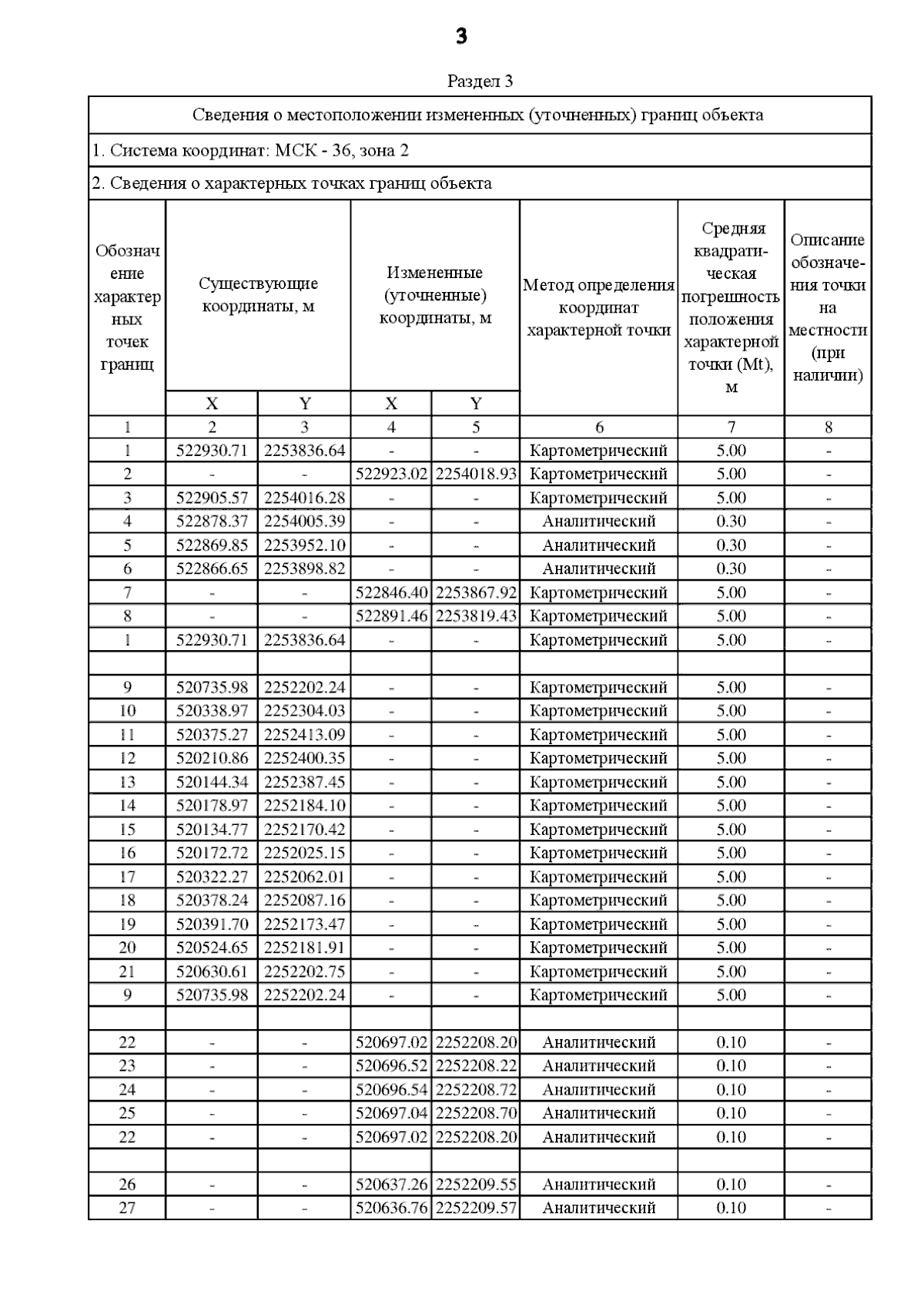
Приказ министерства архитектуры и градостроительства Воронежской области от 20.11.2023 № 45-01-04/1160
"О внесении изменений в правила землепользования и застройки Есиповского сельского поселения Терновского муниципального района Воронежской области"
(Зарегистрирован 27.11.2023 № 1576)
Номер опубликования: 3601202312040015
Дата опубликования: 04.12.2023
Страница №36 из 49:
Увеличить