Официальное опубликование правовых актов
ОФИЦИАЛЬНОЕ ОПУБЛИКОВАНИЕ
Приказ министерства архитектуры и градостроительства Воронежской области от 13.11.2023 № 45-01-04/1122
"О внесении изменений в правила землепользования и застройки Октябрьского сельского поселения Бобровского муниципального района Воронежской области"
(Зарегистрирован 27.11.2023 № 1577)
Номер опубликования: 3601202312040005
Дата опубликования: 04.12.2023
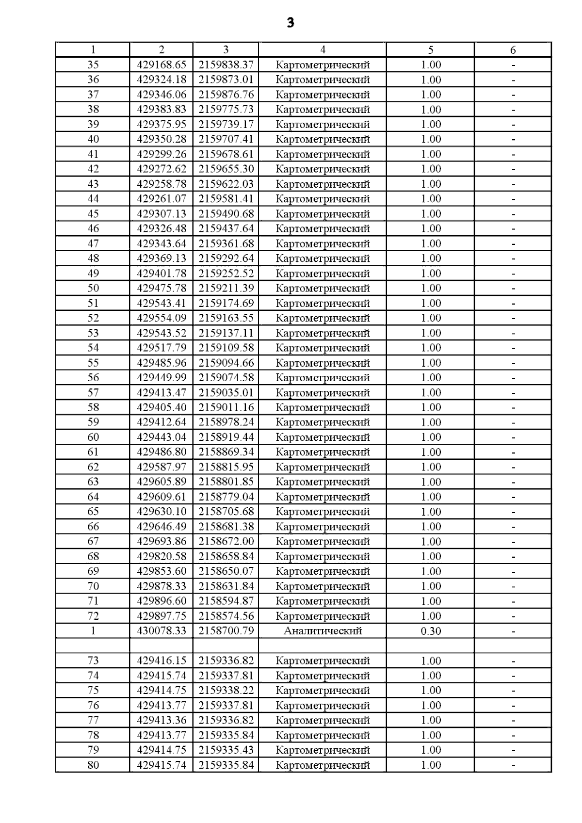
Страница №9 из 39:
Увеличить