Официальное опубликование правовых актов
ОФИЦИАЛЬНОЕ ОПУБЛИКОВАНИЕ
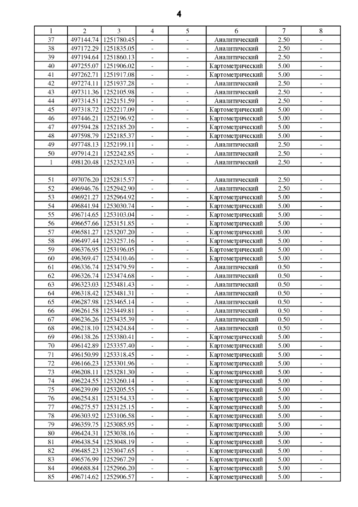
Приказ министерства архитектуры и градостроительства Воронежской области от 20.11.2023 № 45-01-04/1161
"О внесении изменений в правила землепользования и застройки Нижнетуровского сельского поселения Нижнедевицкого муниципального района Воронежской области"
(Зарегистрирован 27.11.2023 № 1575)
Номер опубликования: 3601202312040004
Дата опубликования: 04.12.2023
Страница №11 из 73:
Увеличить